- 數位電子教程
- 數位電子 - 首頁
- 數位電子基礎
- 數字系統型別
- 訊號型別
- 邏輯電平和脈衝波形
- 數字系統元件
- 數字邏輯運算
- 數字系統的優點
- 進位制系統
- 進位制系統
- 二進位制數表示
- 二進位制運算
- 帶符號二進位制運算
- 八進位制運算
- 十六進位制運算
- 補碼運算
- 進位制轉換
- 進位制轉換
- 二進位制轉十進位制
- 十進位制轉二進位制
- 二進位制轉八進位制
- 八進位制轉二進位制
- 八進位制轉十進位制
- 十進位制轉八進位制
- 十六進位制轉二進位制
- 二進位制轉十六進位制
- 十六進位制轉十進位制
- 十進位制轉十六進位制
- 八進位制轉十六進位制
- 十六進位制轉八進位制
- 二進位制碼
- 二進位制碼
- 8421 BCD碼
- 餘3碼
- 格雷碼
- ASCII碼
- EBCDIC碼
- 碼轉換
- 錯誤檢測與糾正碼
- 邏輯閘
- 邏輯閘
- 與門
- 或門
- 非門
- 通用門
- 異或門
- 異或非門
- CMOS邏輯閘
- 使用二極體電阻邏輯的或門
- 與門與或門的比較
- 兩級邏輯實現
- 閾值邏輯
- 布林代數
- 布林代數
- 布林代數定律
- 布林函式
- 德摩根定理
- SOP和POS形式
- POS到標準POS形式
- 最小化技術
- 卡諾圖化簡
- 三變數卡諾圖
- 四變數卡諾圖
- 五變數卡諾圖
- 六變數卡諾圖
- 無關項條件
- 奎因-麥克拉斯基方法
- 最小項和最大項
- 規範式和標準式
- 最大項表示
- 使用布林代數化簡
- 組合邏輯電路
- 數字組合電路
- 數字算術電路
- 多路選擇器
- 多路選擇器設計步驟
- 多路選擇器通用門
- 使用4:1多路選擇器的2變數函式
- 使用8:1多路選擇器的3變數函式
- 多路分配器
- 多路選擇器與多路分配器的比較
- 奇偶校驗位發生器和校驗器
- 比較器
- 編碼器
- 鍵盤編碼器
- 優先編碼器
- 譯碼器
- 算術邏輯單元
- 7段LED顯示器
- 程式碼轉換器
- 程式碼轉換器
- 二進位制轉十進位制轉換器
- 十進位制轉BCD轉換器
- BCD轉十進位制轉換器
- 二進位制轉格雷碼轉換器
- 格雷碼轉二進位制轉換器
- BCD轉餘3碼轉換器
- 餘3碼轉BCD轉換器
- 加法器
- 半加器
- 全加器
- 序列加法器
- 並行加法器
- 使用半加器的全加器
- 半加器與全加器的比較
- 使用與非門的全加器
- 使用與非門的半加器
- 二進位制加法/減法器
- 減法器
- 半減器
- 全減器
- 並行減法器
- 使用兩個半減器的全減器
- 使用與非門的半減器
- 時序邏輯電路
- 數字時序電路
- 時鐘訊號和觸發
- 鎖存器
- 移位暫存器
- 移位暫存器的應用
- 二進位制暫存器
- 雙向移位暫存器
- 計數器
- 二進位制計數器
- 非二進位制計數器
- 同步計數器設計
- 同步計數器與非同步計數器的比較
- 有限狀態機
- 演算法狀態機
- 觸發器
- 觸發器
- 觸發器轉換
- D觸發器
- JK觸發器
- T觸發器
- SR觸發器
- 帶時鐘的SR觸發器
- 無時鐘SR觸發器
- 帶時鐘的JK觸發器
- JK觸發器轉T觸發器
- SR觸發器轉JK觸發器
- 觸發方法:觸發器
- 邊沿觸發觸發器
- 主從JK觸發器
- 競爭冒險現象
- A/D和D/A轉換器
- 模數轉換器
- 數模轉換器
- DAC和ADC積體電路
- 邏輯閘的實現
- 用與非門實現非門
- 用與非門實現或門
- 用與非門實現與門
- 用與非門實現或非門
- 用與非門實現異或門
- 用與非門實現異或非門
- 用或非門實現非門
- 用或非門實現或門
- 用或非門實現與門
- 用或非門實現與非門
- 用或非門實現異或門
- 用或非門實現異或非門
- 使用CMOS的與非/或非門
- 使用與非門的全減器
- 使用2:1多路選擇器的與門
- 使用2:1多路選擇器的或門
- 使用2:1多路選擇器的非門
- 儲存器件
- 儲存器件
- RAM和ROM
- 快取記憶體設計
- 可程式設計邏輯器件
- 可程式設計邏輯器件
- 可程式設計邏輯陣列
- 可程式設計陣列邏輯
- 現場可程式設計門陣列
- 數字電子系列
- 數字電子系列
- CPU架構
- CPU架構
- 數位電子資源
- 數位電子 - 快速指南
- 數位電子 - 資源
- 數位電子 - 討論
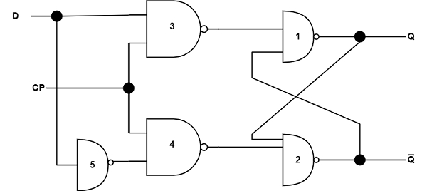
什麼是D觸發器?
什麼是D觸發器?
D觸發器是一個帶時鐘的觸發器,具有單個數字輸入“D”。每次對D觸發器進行時鐘脈衝時,其輸出都跟隨“D”的狀態。D觸發器只有兩個輸入D和CP。D輸入精確地進入S輸入,其補碼用於R輸入。
假設脈衝輸入為0,則門3和4的輸出為1,無論D的值如何,電路都不能轉換狀態。當CP=1時,對D輸入進行取樣。如果D為1,則Q輸出變為1,使電路處於置位狀態。如果D為0,則Q輸出變為0,電路切換到復位狀態。
D觸發器的真值表
D觸發器的真值表如下表所示。
| S | D | QN+1 |
|---|---|---|
| 0 | 0 | 0 |
| 0 | 1 | 1 |
| 1 | 0 | 0 |
| 1 | 1 | 1 |
D觸發器的邏輯符號如圖所示。
D觸發器從其將資料存入內部儲存的能力中獲得其名稱。這種型別的觸發器被稱為門控D鎖存器。給定目標G(門)提供CP輸入,以表示此輸入允許門控鎖存器將適用資料輸入到電路中。
當允許CP輸入時,D觸發器資料輸入端存在的二進位制資料將更改為Q輸出。考慮到脈衝在其1狀態下持續,輸出跟隨資料輸入。當脈衝變為0時,在脈衝轉換出現時資料輸入端顯示的二進位制資料將保留在Q輸出端,直到再次允許脈衝輸入。
D觸發器的真值表顯示在表格中。它表明觸發器的下一個狀態與當前狀態無關,因為無論Q是否等於0或1,QN+1都與輸入D相同。這定義了輸入脈衝將把輸入D的值更改為觸發器的輸出,而與脈衝使用之前的輸出值無關。
廣告