
- 資料結構與演算法
- DSA - 首頁
- DSA - 概述
- DSA - 環境設定
- DSA - 演算法基礎
- DSA - 漸進分析
- 資料結構
- DSA - 資料結構基礎
- DSA - 資料結構和型別
- DSA - 陣列資料結構
- 連結串列
- DSA - 連結串列資料結構
- DSA - 雙向連結串列資料結構
- DSA - 迴圈連結串列資料結構
- 棧與佇列
- DSA - 棧資料結構
- DSA - 表示式解析
- DSA - 佇列資料結構
- 搜尋演算法
- DSA - 搜尋演算法
- DSA - 線性搜尋演算法
- DSA - 二分搜尋演算法
- DSA - 插值搜尋
- DSA - 跳躍搜尋演算法
- DSA - 指數搜尋
- DSA - 斐波那契搜尋
- DSA - 子列表搜尋
- DSA - 雜湊表
- 排序演算法
- DSA - 排序演算法
- DSA - 氣泡排序演算法
- DSA - 插入排序演算法
- DSA - 選擇排序演算法
- DSA - 歸併排序演算法
- DSA - 希爾排序演算法
- DSA - 堆排序
- DSA - 桶排序演算法
- DSA - 計數排序演算法
- DSA - 基數排序演算法
- DSA - 快速排序演算法
- 圖資料結構
- DSA - 圖資料結構
- DSA - 深度優先遍歷
- DSA - 廣度優先遍歷
- DSA - 生成樹
- 樹資料結構
- DSA - 樹資料結構
- DSA - 樹的遍歷
- DSA - 二叉搜尋樹
- DSA - AVL 樹
- DSA - 紅黑樹
- DSA - B 樹
- DSA - B+ 樹
- DSA - 伸展樹
- DSA - Trie 樹
- DSA - 堆資料結構
- 遞迴
- DSA - 遞迴演算法
- DSA - 使用遞迴實現漢諾塔
- DSA - 使用遞迴實現斐波那契數列
- 分治法
- DSA - 分治法
- DSA - 最大最小問題
- DSA - Strassen 矩陣乘法
- DSA - Karatsuba 演算法
- 貪心演算法
- DSA - 貪心演算法
- DSA - 旅行商問題(貪心演算法)
- DSA - Prim 最小生成樹
- DSA - Kruskal 最小生成樹
- DSA - Dijkstra 最短路徑演算法
- DSA - 地圖著色演算法
- DSA - 分數揹包問題
- DSA - 帶截止日期的作業排序
- DSA - 最佳合併模式演算法
- 動態規劃
- DSA - 動態規劃
- DSA - 矩陣鏈乘法
- DSA - Floyd-Warshall 演算法
- DSA - 0-1 揹包問題
- DSA - 最長公共子序列演算法
- DSA - 旅行商問題(動態規劃)
- 近似演算法
- DSA - 近似演算法
- DSA - 頂點覆蓋演算法
- DSA - 集合覆蓋問題
- DSA - 旅行商問題(近似演算法)
- 隨機化演算法
- DSA - 隨機化演算法
- DSA - 隨機化快速排序演算法
- DSA - Karger 最小割演算法
- DSA - Fisher-Yates 洗牌演算法
- DSA 有用資源
- DSA - 問答
- DSA - 快速指南
- DSA - 有用資源
- DSA - 討論
Prim 最小生成樹
Prim 最小生成樹演算法是查詢圖的最小生成樹的有效方法之一。最小生成樹是一個子圖,它以最少的邊和最小的成本(分配給每條邊的權重的總和)連線主圖中存在的所有頂點。
該演算法類似於任何最短路徑演算法,從一個被設定為根的頂點開始,透過確定成本最低的相鄰邊遍歷圖中的所有頂點。

Prim 演算法
要執行 Prim 演算法,演算法接收的輸入是圖 G {V, E},其中 V 是頂點集,E 是邊集,以及源頂點 S。圖 G 的最小生成樹作為輸出獲得。
演算法
宣告一個數組 visited[] 用於儲存已訪問的頂點,首先,將任意根(例如 S)新增到 visited 陣列中。
檢查最後一個已訪問頂點的相鄰頂點是否在 visited[] 陣列中。
如果頂點不在 visited[] 陣列中,則比較邊的成本,並將成本最低的邊新增到輸出生成樹中。
將具有最低成本邊的相鄰未訪問頂點新增到 visited[] 陣列中,並將最低成本邊新增到最小生成樹輸出中。
步驟 2 和 4 對圖中所有未訪問的頂點重複執行,以獲得給定圖的完整最小生成樹輸出。
計算獲得的最小生成樹的成本。
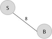
示例
使用 Prim 方法(貪心演算法)查詢下面給定圖的最小生成樹,其中 S 為任意根。

解決方案
步驟 1
建立一個 visited 陣列,將所有已訪問的頂點儲存到其中。
V = { }
任意根被指定為 S,因此在連線到 S 的所有邊中,我們需要找到成本最低的邊。
S → B = 8 V = {S, B}

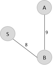
步驟 2
由於 B 是最後一個已訪問的頂點,因此檢查連線到頂點 B 的成本最低的邊。
B → A = 9 B → C = 16 B → E = 14
因此,B → A 是新增到生成樹的邊。
V = {S, B, A}

步驟 3
由於 A 是最後一個已訪問的頂點,因此檢查連線到頂點 A 的成本最低的邊。
A → C = 22 A → B = 9 A → E = 11
但是 A → B 已經在生成樹中了,檢查下一個成本最低的邊。因此,A → E 被新增到生成樹中。
V = {S, B, A, E}

步驟 4
由於 E 是最後一個已訪問的頂點,因此檢查連線到頂點 E 的成本最低的邊。
E → C = 18 E → D = 3
因此,E → D 被新增到生成樹中。
V = {S, B, A, E, D}

步驟 5
由於 D 是最後一個已訪問的頂點,因此檢查連線到頂點 D 的成本最低的邊。
D → C = 15 E → D = 3
因此,D → C 被新增到生成樹中。
V = {S, B, A, E, D, C}

獲得的最小生成樹的最小成本 = 46
示例
最終程式實現了 Prim 最小生成樹問題,該問題以成本鄰接矩陣作為輸入,並列印生成樹作為輸出以及最小成本。
#include<stdio.h> #include<stdlib.h> #define inf 99999 #define MAX 10 int G[MAX][MAX] = { {0, 19, 8}, {21, 0, 13}, {15, 18, 0} }; int S[MAX][MAX], n; int prims(); int main(){ int i, j, cost; n = 3; cost=prims(); printf("Spanning tree:"); for(i=0; i<n; i++) { printf("\n"); for(j=0; j<n; j++) printf("%d\t",S[i][j]); } printf("\nMinimum cost = %d", cost); return 0; } int prims(){ int C[MAX][MAX]; int u, v, min_dist, dist[MAX], from[MAX]; int visited[MAX],ne,i,min_cost,j; //create cost[][] matrix,spanning[][] for(i=0; i<n; i++) for(j=0; j<n; j++) { if(G[i][j]==0) C[i][j]=inf; else C[i][j]=G[i][j]; S[i][j]=0; } //initialise visited[],distance[] and from[] dist[0]=0; visited[0]=1; for(i=1; i<n; i++) { dist[i] = C[0][i]; from[i] = 0; visited[i] = 0; } min_cost = 0; //cost of spanning tree ne = n-1; //no. of edges to be added while(ne > 0) { //find the vertex at minimum distance from the tree min_dist = inf; for(i=1; i<n; i++) if(visited[i] == 0 && dist[i] < min_dist) { v = i; min_dist = dist[i]; } u = from[v]; //insert the edge in spanning tree S[u][v] = dist[v]; S[v][u] = dist[v]; ne--; visited[v]=1; //updated the distance[] array for(i=1; i<n; i++) if(visited[i] == 0 && C[i][v] < dist[i]) { dist[i] = C[i][v]; from[i] = v; } min_cost = min_cost + C[u][v]; } return(min_cost); }
輸出
Spanning tree: 0 0 8 0 0 13 8 13 0 Minimum cost = 26
#include<iostream> #define inf 999999 #define MAX 10 using namespace std; int G[MAX][MAX] = { {0, 19, 8}, {21, 0, 13}, {15, 18, 0} }; int S[MAX][MAX], n; int prims(); int main(){ int i, j, cost; n = 3; cost=prims(); cout <<"Spanning tree:"; for(i=0; i<n; i++) { cout << endl; for(j=0; j<n; j++) cout << S[i][j] << " "; } cout << "\nMinimum cost = " << cost; return 0; } int prims(){ int C[MAX][MAX]; int u, v, min_dist, dist[MAX], from[MAX]; int visited[MAX],ne,i,min_cost,j; //create cost matrix and spanning tree for(i=0; i<n; i++) for(j=0; j<n; j++) { if(G[i][j]==0) C[i][j]=inf; else C[i][j]=G[i][j]; S[i][j]=0; } //initialise visited[],distance[] and from[] dist[0]=0; visited[0]=1; for(i=1; i<n; i++) { dist[i] = C[0][i]; from[i] = 0; visited[i] = 0; } min_cost = 0; //cost of spanning tree ne = n-1; //no. of edges to be added while(ne > 0) { //find the vertex at minimum distance from the tree min_dist = inf; for(i=1; i<n; i++) if(visited[i] == 0 && dist[i] < min_dist) { v = i; min_dist = dist[i]; } u = from[v]; //insert the edge in spanning tree S[u][v] = dist[v]; S[v][u] = dist[v]; ne--; visited[v]=1; //updated the distance[] array for(i=1; i<n; i++) if(visited[i] == 0 && C[i][v] < dist[i]) { dist[i] = C[i][v]; from[i] = v; } min_cost = min_cost + C[u][v]; } return(min_cost); }
輸出
Spanning tree: 0 0 8 0 0 13 8 13 0 Minimum cost = 26
public class prims { static int inf = 999999; static int MAX = 10; static int G[][] = { {0, 19, 8}, {21, 0, 13}, {15, 18, 0} }; static int S[][] = new int[MAX][MAX]; static int n; public static void main(String args[]) { int i, j, cost; n = 3; cost=prims(); System.out.print("Spanning tree: "); for(i=0; i<n; i++) { System.out.println(); for(j=0; j<n; j++) System.out.print(S[i][j] + " "); } System.out.println("\nMinimum cost = " + cost); } static int prims() { int C[][] = new int[MAX][MAX]; int u, v = 0, min_dist; int dist[] = new int[MAX]; int from[] = new int[MAX]; int visited[] = new int[MAX]; int ne,i,min_cost,j; //create cost matrix and spanning tree for(i=0; i<n; i++) for(j=0; j<n; j++) { if(G[i][j]==0) C[i][j]=inf; else C[i][j]=G[i][j]; S[i][j]=0; } //initialise visited[],distance[] and from[] dist[0]=0; visited[0]=1; for(i=1; i<n; i++) { dist[i] = C[0][i]; from[i] = 0; visited[i] = 0; } min_cost = 0; //cost of spanning tree ne = n-1; //no. of edges to be added while(ne > 0) { //find the vertex at minimum distance from the tree min_dist = inf; for(i=1; i<n; i++) if(visited[i] == 0 && dist[i] < min_dist) { v = i; min_dist = dist[i]; } u = from[v]; //insert the edge in spanning tree S[u][v] = dist[v]; S[v][u] = dist[v]; ne--; visited[v]=1; //updated the distance[] array for(i=1; i<n; i++) if(visited[i] == 0 && C[i][v] < dist[i]) { dist[i] = C[i][v]; from[i] = v; } min_cost = min_cost + C[u][v]; } return(min_cost); } }
輸出
Spanning tree: 0 0 8 0 0 13 8 13 0 Minimum cost = 26
inf = 999999 MAX = 10 G = [ [0, 19, 8], [21, 0, 13], [15, 18, 0] ] S = [[0 for _ in range(MAX)] for _ in range(MAX)] n = 3 def main(): global n cost = prims() print("Spanning tree: ") for i in range(n): print() for j in range(n): print(S[i][j], end=" ") print("\nMinimum cost =", cost) def prims(): global n C = [[0 for _ in range(MAX)] for _ in range(MAX)] u, v = 0, 0 min_dist = 0 dist = [0 for _ in range(MAX)] from_ = [0 for _ in range(MAX)] visited = [0 for _ in range(MAX)] ne = 0 min_cost = 0 i = 0 j = 0 for i in range(n): for j in range(n): if G[i][j] == 0: C[i][j] = inf else: C[i][j] = G[i][j] S[i][j] = 0 dist[0] = 0 visited[0] = 1 for i in range(1, n): dist[i] = C[0][i] from_[i] = 0 visited[i] = 0 min_cost = 0 ne = n - 1 while ne > 0: min_dist = inf for i in range(1, n): if visited[i] == 0 and dist[i] < min_dist: v = i min_dist = dist[i] u = from_[v] S[u][v] = dist[v] S[v][u] = dist[v] ne -= 1 visited[v] = 1 for i in range(n): if visited[i] == 0 and C[i][v] < dist[i]: dist[i] = C[i][v] from_[i] = v min_cost += C[u][v] return min_cost #calling the main() method main()
輸出
Spanning tree: 0 0 8 0 0 13 8 13 0 Minimum cost = 26