
- 資料結構與演算法
- DSA - 首頁
- DSA - 概述
- DSA - 環境搭建
- DSA - 演算法基礎
- DSA - 漸進分析
- 資料結構
- DSA - 資料結構基礎
- DSA - 資料結構和型別
- DSA - 陣列資料結構
- 連結串列
- DSA - 連結串列資料結構
- DSA - 雙向連結串列資料結構
- DSA - 迴圈連結串列資料結構
- 棧與佇列
- DSA - 棧資料結構
- DSA - 表示式解析
- DSA - 佇列資料結構
- 搜尋演算法
- DSA - 搜尋演算法
- DSA - 線性搜尋演算法
- DSA - 二分搜尋演算法
- DSA - 插值搜尋
- DSA - 跳躍搜尋演算法
- DSA - 指數搜尋
- DSA - 斐波那契搜尋
- DSA - 子列表搜尋
- DSA - 雜湊表
- 排序演算法
- DSA - 排序演算法
- DSA - 氣泡排序演算法
- DSA - 插入排序演算法
- DSA - 選擇排序演算法
- DSA - 歸併排序演算法
- DSA - 希爾排序演算法
- DSA - 堆排序
- DSA - 桶排序演算法
- DSA - 計數排序演算法
- DSA - 基數排序演算法
- DSA - 快速排序演算法
- 圖資料結構
- DSA - 圖資料結構
- DSA - 深度優先遍歷
- DSA - 廣度優先遍歷
- DSA - 生成樹
- 樹資料結構
- DSA - 樹資料結構
- DSA - 樹的遍歷
- DSA - 二叉搜尋樹
- DSA - AVL樹
- DSA - 紅黑樹
- DSA - B樹
- DSA - B+樹
- DSA - 伸展樹
- DSA - Trie樹
- DSA - 堆資料結構
- 遞迴
- DSA - 遞迴演算法
- DSA - 使用遞迴實現漢諾塔
- DSA - 使用遞迴實現斐波那契數列
- 分治法
- DSA - 分治法
- DSA - 最大最小問題
- DSA - Strassen矩陣乘法
- DSA - Karatsuba演算法
- 貪心演算法
- DSA - 貪心演算法
- DSA - 旅行商問題(貪心演算法)
- DSA - Prim最小生成樹
- DSA - Kruskal最小生成樹
- DSA - Dijkstra最短路徑演算法
- DSA - 地圖著色演算法
- DSA - 分數揹包問題
- DSA - 帶截止日期的作業排序
- DSA - 最優合併模式演算法
- 動態規劃
- DSA - 動態規劃
- DSA - 矩陣鏈乘法
- DSA - 弗洛伊德-沃歇爾演算法
- DSA - 0-1揹包問題
- DSA - 最長公共子序列演算法
- DSA - 旅行商問題(動態規劃)
- 近似演算法
- DSA - 近似演算法
- DSA - 頂點覆蓋演算法
- DSA - 集合覆蓋問題
- DSA - 旅行商問題(近似演算法)
- 隨機化演算法
- DSA - 隨機化演算法
- DSA - 隨機化快速排序演算法
- DSA - Karger最小割演算法
- DSA - Fisher-Yates洗牌演算法
- DSA有用資源
- DSA - 問答
- DSA - 快速指南
- DSA - 有用資源
- DSA - 討論
弗洛伊德-沃歇爾演算法
弗洛伊德-沃歇爾演算法是一種圖演算法,用於查詢加權圖中所有頂點之間的最短路徑。該演算法不同於其他最短路徑演算法;簡單來說,該演算法使用圖中的每個頂點作為樞紐,檢查它是否提供了從一點到另一點的最快路徑。
弗洛伊德-沃歇爾演算法適用於有向和無向加權圖,除非這些圖不包含任何負環。負環是指圖中所有邊的總和不能導致負數。
由於該演算法處理重疊子問題——由頂點作為樞紐找到的路徑被儲存以解決後續步驟——因此它使用動態規劃方法。
弗洛伊德-沃歇爾演算法是所有對最短路徑演算法中的一種方法,它使用圖的鄰接矩陣表示來求解。
Floyd-Warshall演算法
考慮一個圖,G = {V, E},其中V是圖中所有頂點的集合,E是圖中所有邊的集合。圖G以鄰接矩陣A的形式表示,該矩陣包含連線兩個頂點的每條邊的所有權重。
演算法
步驟1 - 構造一個鄰接矩陣A,其中包含圖中所有邊的權重。如果兩個頂點之間沒有路徑,則將值標記為∞。
步驟2 - 從A派生另一個鄰接矩陣A1,在A1中保持原始鄰接矩陣的第1行和第1列不變。對於其餘的值,例如A1[i,j],如果A[i,j]>A[i,k]+A[k,j],則用A[i,k]+A[k,j]替換A1[i,j]。否則,不要更改值。在此步驟中,k = 1(第一個頂點作為樞紐)。
步驟3 - 透過為每個樞紐頂點更改k值,對圖中的所有頂點重複步驟2,直到獲得最終矩陣。
步驟4 - 獲得的最終鄰接矩陣是包含所有最短路徑的最終解。
虛擬碼
Floyd-Warshall(w, n){ // w: weights, n: number of vertices for i = 1 to n do // initialize, D (0) = [wij] for j = 1 to n do{ d[i, j] = w[i, j]; } for k = 1 to n do // Compute D (k) from D (k-1) for i = 1 to n do for j = 1 to n do if (d[i, k] + d[k, j] < d[i, j]){ d[i, j] = d[i, k] + d[k, j]; } return d[1..n, 1..n]; }
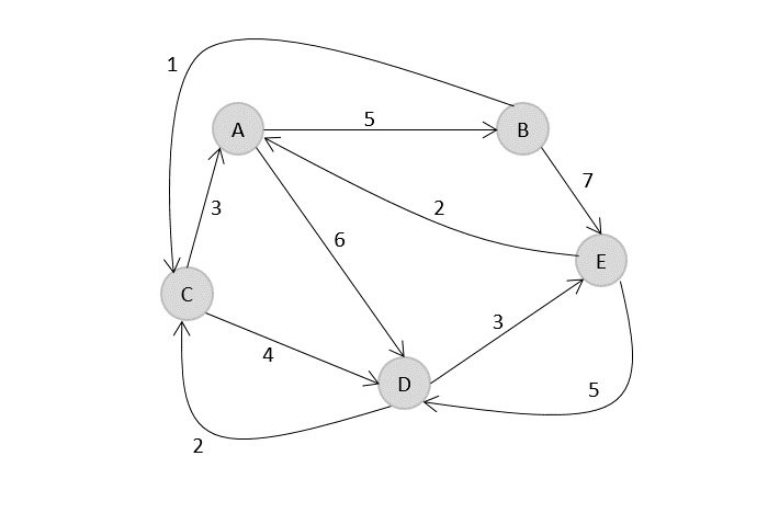
示例
考慮以下有向加權圖G = {V, E}。使用弗洛伊德-沃歇爾演算法查詢圖中所有頂點之間的最短路徑。

解答
步驟1
構造一個鄰接矩陣A,其中所有距離作為值。
$$A=\begin{matrix} 0 & 5& \infty & 6& \infty \\ \infty & 0& 1& \infty& 7\\ 3 & \infty& 0& 4& \infty\\ \infty & \infty& 2& 0& 3\\ 2& \infty& \infty& 5& 0\\ \end{matrix}$$
步驟2
將上述鄰接矩陣作為輸入,透過僅保持第一行和第一列不變來派生另一個矩陣A0。取k = 1,並用A[i,k]+A[k,j]替換所有其他值。
$$A=\begin{matrix} 0 & 5& \infty & 6& \infty \\ \infty & & & & \\ 3& & & & \\ \infty& & & & \\ 2& & & & \\ \end{matrix}$$
$$A_{1}=\begin{matrix} 0 & 5& \infty & 6& \infty \\ \infty & 0& 1& \infty& 7\\ 3 & 8& 0& 4& \infty\\ \infty & \infty& 2& 0& 3\\ 2& 7& \infty& 5& 0\\ \end{matrix}$$
步驟3
將上述鄰接矩陣作為輸入,透過僅保持第一行和第一列不變來派生另一個矩陣A0。取k = 1,並用A[i,k]+A[k,j]替換所有其他值。
$$A_{2}=\begin{matrix} & 5& & & \\ \infty & 0& 1& \infty& 7\\ & 8& & & \\ & \infty& & & \\ & 7& & & \\ \end{matrix}$$
$$A_{2}=\begin{matrix} 0 & 5& 6& 6& 12 \\ \infty & 0& 1& \infty& 7\\ 3 & 8& 0& 4& 15\\ \infty & \infty& 2& 0& 3\\ 2 & 7& 8& 5& 0 \\ \end{matrix}$$
步驟4
將上述鄰接矩陣作為輸入,透過僅保持第一行和第一列不變來派生另一個矩陣A0。取k = 1,並用A[i,k]+A[k,j]替換所有其他值。
$$A_{3}=\begin{matrix} & & 6& & \\ & & 1& & \\ 3 & 8& 0& 4& 15\\ & & 2& & \\ & & 8& & \\ \end{matrix}$$
$$A_{3}=\begin{matrix} 0 & 5& 6& 6& 12 \\ 4 & 0& 1& 5& 7\\ 3 & 8& 0& 4& 15\\ 5 & 10& 2& 0& 3\\ 2 & 7& 8& 5& 0 \\ \end{matrix}$$
步驟5
將上述鄰接矩陣作為輸入,透過僅保持第一行和第一列不變來派生另一個矩陣A0。取k = 1,並用A[i,k]+A[k,j]替換所有其他值。
$$A_{4}=\begin{matrix} & & & 6& \\ & & & 5& \\ & & & 4& \\ 5 & 10& 2& 0& 3\\ & & & 5& \\ \end{matrix}$$
$$A_{4}=\begin{matrix} 0 & 5& 6& 6& 9 \\ 4 & 0& 1& 5& 7\\ 3 & 8& 0& 4& 7\\ 5 & 10& 2& 0& 3\\ 2 & 7& 7& 5& 0 \\ \end{matrix}$$
步驟6
將上述鄰接矩陣作為輸入,透過僅保持第一行和第一列不變來派生另一個矩陣A0。取k = 1,並用A[i,k]+A[k,j]替換所有其他值。
$$A_{5}=\begin{matrix} & & & & 9 \\ & & & & 7\\ & & & & 7\\ & & & & 3\\ 2 & 7& 7& 5& 0 \\ \end{matrix}$$
$$A_{5}=\begin{matrix} 0 & 5& 6& 6& 9 \\ 4 & 0& 1& 5& 7\\ 3 & 8& 0& 4& 7\\ 5 & 10& 2& 0& 3\\ 2 & 7& 7& 5& 0 \\ \end{matrix}$$
分析
從上面的虛擬碼可以看出,弗洛伊德-沃歇爾演算法使用三個for迴圈來查詢圖中所有頂點對之間的最短距離。因此,弗洛伊德-沃歇爾演算法的時間複雜度為O(n3),其中'n'是圖中頂點的數量。該演算法的空間複雜度為O(n2)。
實現
以下是使用成本鄰接矩陣查詢圖中最短路徑的弗洛伊德-沃歇爾演算法的實現 -
#include <stdio.h> void floyds(int b[3][3]) { int i, j, k; for (k = 0; k < 3; k++) { for (i = 0; i < 3; i++) { for (j = 0; j < 3; j++) { if ((b[i][k] * b[k][j] != 0) && (i != j)) { if ((b[i][k] + b[k][j] < b[i][j]) || (b[i][j] == 0)) { b[i][j] = b[i][k] + b[k][j]; } } } } } for (i = 0; i < 3; i++) { printf("Minimum Cost With Respect to Node: %d\n", i); for (j = 0; j < 3; j++) { printf("%d\t", b[i][j]); } } } int main() { int b[3][3] = {0}; b[0][1] = 10; b[1][2] = 15; b[2][0] = 12; floyds(b); return 0; }
輸出
Minimum Cost With Respect to Node: 0 0 10 25 Minimum Cost With Respect to Node: 1 27 0 15 Minimum Cost With Respect to Node: 2 12 22 0
#include <iostream> using namespace std; void floyds(int b[][3]){ int i, j, k; for (k = 0; k < 3; k++) { for (i = 0; i < 3; i++) { for (j = 0; j < 3; j++) { if ((b[i][k] * b[k][j] != 0) && (i != j)) { if ((b[i][k] + b[k][j] < b[i][j]) || (b[i][j] == 0)) { b[i][j] = b[i][k] + b[k][j]; } } } } } for (i = 0; i < 3; i++) { cout<<"Minimum Cost With Respect to Node:"<<i<<endl; for (j = 0; j < 3; j++) { cout<<b[i][j]<<"\t"; } } } int main(){ int b[3][3]; for (int i = 0; i < 3; i++) { for (int j = 0; j < 3; j++) { b[i][j] = 0; } } b[0][1] = 10; b[1][2] = 15; b[2][0] = 12; floyds(b); return 0; }
輸出
Minimum Cost With Respect to Node:0 0 10 25 Minimum Cost With Respect to Node:1 27 0 15 Minimum Cost With Respect to Node:2 12 22 0
import java.util.Arrays; public class Main { public static void floyds(int[][] b) { int i, j, k; for (k = 0; k < 3; k++) { for (i = 0; i < 3; i++) { for (j = 0; j < 3; j++) { if ((b[i][k] * b[k][j] != 0) && (i != j)) { if ((b[i][k] + b[k][j] < b[i][j]) || (b[i][j] == 0)) { b[i][j] = b[i][k] + b[k][j]; } } } } } for (i = 0; i < 3; i++) { System.out.println("Minimum Cost With Respect to Node:" + i); for (j = 0; j < 3; j++) { System.out.print(b[i][j] + "\t"); } } } public static void main(String[] args) { int[][] b = new int[3][3]; for (int i = 0; i < 3; i++) { Arrays.fill(b[i], 0); } b[0][1] = 10; b[1][2] = 15; b[2][0] = 12; floyds(b); } }
輸出
Minimum Cost With Respect to Node:0 0 10 25 Minimum Cost With Respect to Node:1 27 0 15 Minimum Cost With Respect to Node:2 12 22 0
import numpy as np def floyds(b): for k in range(3): for i in range(3): for j in range(3): if (b[i][k] * b[k][j] != 0) and (i != j): if (b[i][k] + b[k][j] < b[i][j]) or (b[i][j] == 0): b[i][j] = b[i][k] + b[k][j] for i in range(3): print("Minimum Cost With Respect to Node:", i) for j in range(3): print(b[i][j], end="\t") b = np.zeros((3, 3), dtype=int) b[0][1] = 10 b[1][2] = 15 b[2][0] = 12 #calling the method floyds(b)
輸出
Minimum Cost With Respect to Node: 0 0 10 25 Minimum Cost With Respect to Node: 1 27 0 15 Minimum Cost With Respect to Node: 2 12 22 0