
- 資料結構與演算法
- DSA - 首頁
- DSA - 概述
- DSA - 環境設定
- DSA - 演算法基礎
- DSA - 漸進分析
- 資料結構
- DSA - 資料結構基礎
- DSA - 資料結構和型別
- DSA - 陣列資料結構
- 連結串列
- DSA - 連結串列資料結構
- DSA - 雙向連結串列資料結構
- DSA - 迴圈連結串列資料結構
- 棧與佇列
- DSA - 棧資料結構
- DSA - 表示式解析
- DSA - 佇列資料結構
- 搜尋演算法
- DSA - 搜尋演算法
- DSA - 線性搜尋演算法
- DSA - 二分搜尋演算法
- DSA - 插值搜尋
- DSA - 跳躍搜尋演算法
- DSA - 指數搜尋
- DSA - 斐波那契搜尋
- DSA - 子列表搜尋
- DSA - 雜湊表
- 排序演算法
- DSA - 排序演算法
- DSA - 氣泡排序演算法
- DSA - 插入排序演算法
- DSA - 選擇排序演算法
- DSA - 歸併排序演算法
- DSA - 希爾排序演算法
- DSA - 堆排序
- DSA - 桶排序演算法
- DSA - 計數排序演算法
- DSA - 基數排序演算法
- DSA - 快速排序演算法
- 圖資料結構
- DSA - 圖資料結構
- DSA - 深度優先遍歷
- DSA - 廣度優先遍歷
- DSA - 生成樹
- 樹資料結構
- DSA - 樹資料結構
- DSA - 樹的遍歷
- DSA - 二叉搜尋樹
- DSA - AVL樹
- DSA - 紅黑樹
- DSA - B樹
- DSA - B+樹
- DSA - 伸展樹
- DSA - 字典樹
- DSA - 堆資料結構
- 遞迴
- DSA - 遞迴演算法
- DSA - 使用遞迴解決漢諾塔問題
- DSA - 使用遞迴解決斐波那契數列問題
- 分治法
- DSA - 分治法
- DSA - 最大最小問題
- DSA - Strassen矩陣乘法
- DSA - Karatsuba演算法
- 貪心演算法
- DSA - 貪心演算法
- DSA - 旅行商問題(貪心演算法)
- DSA - Prim最小生成樹
- DSA - Kruskal最小生成樹
- DSA - Dijkstra最短路徑演算法
- DSA - 地圖著色演算法
- DSA - 分數揹包問題
- DSA - 帶截止日期的作業排序
- DSA - 最佳合併模式演算法
- 動態規劃
- DSA - 動態規劃
- DSA - 矩陣鏈乘法
- DSA - Floyd Warshall演算法
- DSA - 0-1揹包問題
- DSA - 最長公共子序列演算法
- DSA - 旅行商問題(動態規劃)
- 近似演算法
- DSA - 近似演算法
- DSA - 頂點覆蓋演算法
- DSA - 集合覆蓋問題
- DSA - 旅行商問題(近似演算法)
- 隨機化演算法
- DSA - 隨機化演算法
- DSA - 隨機化快速排序演算法
- DSA - Karger最小割演算法
- DSA - Fisher-Yates洗牌演算法
- DSA有用資源
- DSA - 問答
- DSA - 快速指南
- DSA - 有用資源
- DSA - 討論
堆排序演算法
堆排序是一種基於堆資料結構的高效排序技術。
堆是一個幾乎完整的二叉樹,其中父節點可以是最小值或最大值。根節點為最小值的堆稱為最小堆,根節點為最大值的堆稱為最大堆。堆排序演算法使用這兩種方法處理輸入資料。
堆排序演算法在此過程中遵循兩個主要操作:
使用堆化(在本章後面進一步解釋)方法,根據排序方式(升序或降序)從輸入資料構建堆H。
刪除根元素並重復此過程,直到所有輸入元素都被處理。
堆排序演算法很大程度上依賴於二叉樹的堆化方法。那麼什麼是堆化方法呢?
堆化方法
二叉樹的堆化方法是將樹轉換為堆資料結構。此方法使用遞迴方法堆化二叉樹的所有節點。
注意 - 二叉樹必須始終是完整的二叉樹,因為它必須始終有兩個子節點。
透過應用堆化方法,完整的二叉樹將轉換為最大堆或最小堆。
要了解更多關於堆化演算法的資訊,請點選此處。
堆排序演算法
如下演算法所述,排序演算法首先透過呼叫構建最大堆演算法來構建堆ADT,並刪除根元素將其與葉節點上的最小值節點交換。然後應用堆化方法相應地重新排列元素。
Algorithm: Heapsort(A) BUILD-MAX-HEAP(A) for i = A.length downto 2 exchange A[1] with A[i] A.heap-size = A.heap-size - 1 MAX-HEAPIFY(A, 1)
分析
堆排序演算法是其他兩種排序演算法的組合:插入排序和歸併排序。
與插入排序的相似之處在於,在任何時候都只有恆定數量的陣列元素儲存在輸入陣列之外。
堆排序演算法的時間複雜度為O(nlogn),與歸併排序類似。
示例
讓我們來看一個數組示例,以便更好地理解排序演算法:
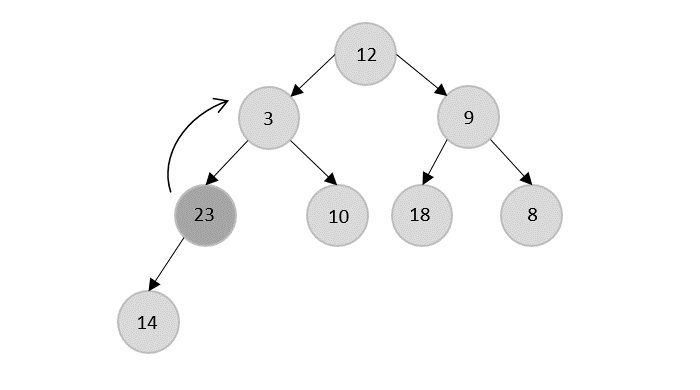
12 | 3 | 9 | 14 | 10 | 18 | 8 | 23 |
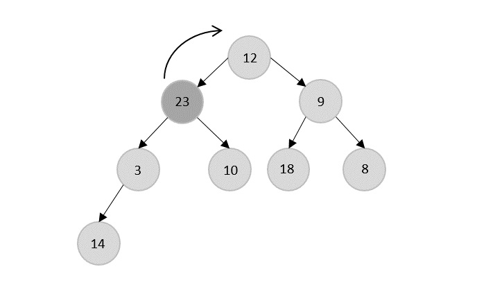
使用來自輸入陣列的構建最大堆演算法構建堆:

透過交換節點來重新排列獲得的二叉樹,以便形成堆資料結構。







堆化演算法
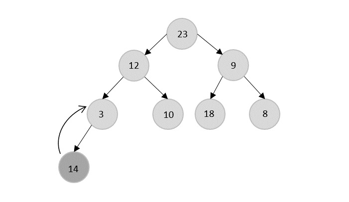
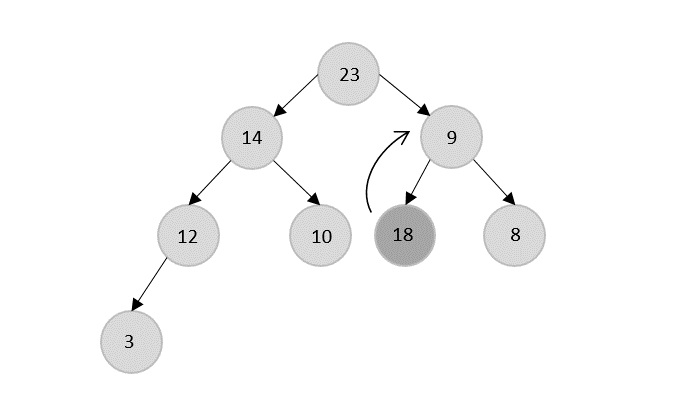
應用堆化方法,從堆中刪除根節點,並將其替換為根節點的下一個最大值子節點。
根節點為23,因此彈出23,並將18設為下一個根,因為它是堆中下一個最大節點。

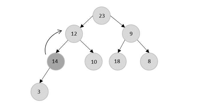
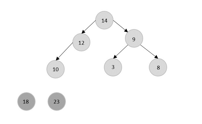
現在,在23之後彈出18,並將其替換為14。

當前根14從堆中彈出,並替換為12。

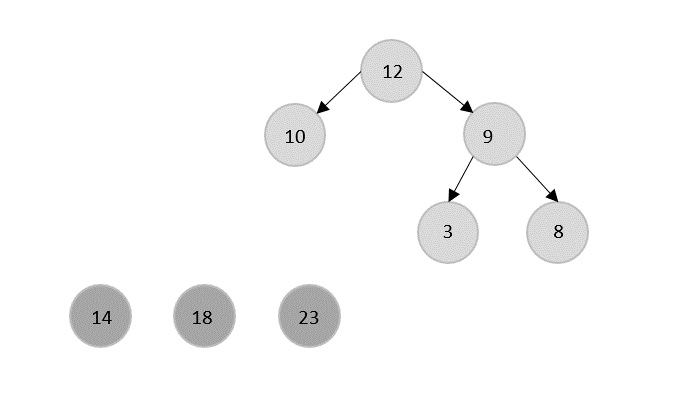
彈出12並替換為10。

類似地,所有其他元素都使用相同的過程彈出。

此處,當前根元素9被彈出,並且元素8和3保留在樹中。

然後,彈出8,樹中只剩下3。

在對給定堆完成堆排序操作後,排序後的元素如下所示:

每次彈出元素時,都會將其新增到輸出陣列的開頭,因為形成的堆資料結構是最大堆。但是,如果堆化方法將二叉樹轉換為最小堆,則新增的彈出元素位於輸出陣列的末尾。
最終排序列表為:
3 | 8 | 9 | 10 | 12 | 14 | 18 | 23 |
實現
堆排序的實現應用的邏輯是:首先,基於最大堆屬性構建堆資料結構,其中父節點的值必須大於子節點的值。然後從堆中彈出根節點,並將堆中的下一個最大節點移到根節點。該過程迭代地繼續,直到堆為空。
在本教程中,我們展示了四種不同的程式語言中的堆排序實現。
#include <stdio.h> void heapify(int[], int); void build_maxheap(int heap[], int n){ int i, j, c, r, t; for (i = 1; i < n; i++) { c = i; do { r = (c - 1) / 2; if (heap[r] < heap[c]) { // to create MAX heap array t = heap[r]; heap[r] = heap[c]; heap[c] = t; } c = r; } while (c != 0); } printf("Heap array: "); for (i = 0; i < n; i++) printf("%d ", heap[i]); heapify(heap, n); } void heapify(int heap[], int n){ int i, j, c, root, temp; for (j = n - 1; j >= 0; j--) { temp = heap[0]; heap[0] = heap[j]; // swap max element with rightmost leaf element heap[j] = temp; root = 0; do { c = 2 * root + 1; // left node of root element if ((heap[c] < heap[c + 1]) && c < j-1) c++; if (heap[root]<heap[c] && c<j) { // again rearrange to max heap array temp = heap[root]; heap[root] = heap[c]; heap[c] = temp; } root = c; } while (c < j); } printf("\nThe sorted array is: "); for (i = 0; i < n; i++) printf("%d ", heap[i]); } int main(){ int n, i, j, c, root, temp; n = 5; int heap[10] = {2, 3, 1, 0, 4}; // initialize the array build_maxheap(heap, n); }
輸出
Heap array: 4 3 1 0 2 The sorted array is: 0 1 2 3 4
#include <iostream> using namespace std; void heapify(int[], int); void build_maxheap(int heap[], int n){ int i, j, c, r, t; for (i = 1; i < n; i++) { c = i; do { r = (c - 1) / 2; if (heap[r] < heap[c]) { // to create MAX heap array t = heap[r]; heap[r] = heap[c]; heap[c] = t; } c = r; } while (c != 0); } cout << "Heap array: "; for (i = 0; i < n; i++) cout <<heap[i]<<" "; heapify(heap, n); } void heapify(int heap[], int n){ int i, j, c, root, temp; for (j = n - 1; j >= 0; j--) { temp = heap[0]; heap[0] = heap[j]; // swap max element with rightmost leaf element heap[j] = temp; root = 0; do { c = 2 * root + 1; // left node of root element if ((heap[c] < heap[c + 1]) && c < j-1) c++; if (heap[root]<heap[c] && c<j) { // again rearrange to max heap array temp = heap[root]; heap[root] = heap[c]; heap[c] = temp; } root = c; } while (c < j); } cout << "\nThe sorted array is : "; for (i = 0; i < n; i++) cout <<heap[i]<<" "; } int main(){ int n, i, j, c, root, temp; n = 5; int heap[10] = {2, 3, 1, 0, 4}; // initialize the array build_maxheap(heap, n); return 0; }
輸出
Heap array: 4 3 1 0 2 The sorted array is : 0 1 2 3 4
import java.io.*; public class HeapSort { static void build_maxheap(int heap[], int n) { for (int i = 1; i < n; i++) { int c = i; do { int r = (c - 1) / 2; if (heap[r] < heap[c]) { // to create MAX heap array int t = heap[r]; heap[r] = heap[c]; heap[c] = t; } c = r; } while (c != 0); } System.out.println("Heap array: "); for (int i = 0; i < n; i++) { System.out.print(heap[i] + " "); } heapify(heap, n); } static void heapify(int heap[], int n) { for (int j = n - 1; j >= 0; j--) { int c; int temp = heap[0]; heap[0] = heap[j]; // swap max element with rightmost leaf element heap[j] = temp; int root = 0; do { c = 2 * root + 1; // left node of root element if ((heap[c] < heap[c + 1]) && c < j-1) c++; if (heap[root]<heap[c] && c<j) { // again rearrange to max heap array temp = heap[root]; heap[root] = heap[c]; heap[c] = temp; } root = c; } while (c < j); } System.out.println("\nThe sorted array is: "); for (int i = 0; i < n; i++) { System.out.print(heap[i] + " "); } } public static void main(String args[]) { int heap[] = new int[10]; heap[0] = 4; heap[1] = 3; heap[2] = 1; heap[3] = 0; heap[4] = 2; int n = 5; build_maxheap(heap, n); } }
輸出
Heap array: 4 3 1 0 2 The sorted array is: 0 1 2 3 4
def heapify(heap, n, i): maximum = i l = 2 * i + 1 r = 2 * i + 2 # if left child exists if l < n and heap[i] < heap[l]: maximum = l # if right child exits if r < n and heap[maximum] < heap[r]: maximum = r # root if maximum != i: heap[i],heap[maximum] = heap[maximum],heap[i] # swap root. heapify(heap, n, maximum) def heapSort(heap): n = len(heap) # maxheap for i in range(n, -1, -1): heapify(heap, n, i) # element extraction for i in range(n-1, 0, -1): heap[i], heap[0] = heap[0], heap[i] # swap heapify(heap, i, 0) # main heap = [4, 3, 1, 0, 2] heapSort(heap) n = len(heap) print("Heap array: ") print(heap) print ("The Sorted array is: ") print(heap)
輸出
Heap array: [0, 1, 2, 3, 4] The Sorted array is: [0, 1, 2, 3, 4]