
- Matlab 教程
- MATLAB - 首頁
- MATLAB - 概述
- MATLAB - 特性
- MATLAB - 環境設定
- MATLAB - 編輯器
- MATLAB - 線上版
- MATLAB - 工作區
- MATLAB - 語法
- MATLAB - 變數
- MATLAB - 命令
- MATLAB - 資料型別
- MATLAB - 運算子
- MATLAB - 日期和時間
- MATLAB - 數字
- MATLAB - 隨機數
- MATLAB - 字串和字元
- MATLAB - 文字格式化
- MATLAB - 時間表
- MATLAB - M 檔案
- MATLAB - 冒號表示法
- MATLAB - 資料匯入
- MATLAB - 資料匯出
- MATLAB - 資料歸一化
- MATLAB - 預定義變數
- MATLAB - 決策
- MATLAB - 決策語句
- MATLAB - if-end 語句
- MATLAB - if-else 語句
- MATLAB - if-elseif-else 語句
- MATLAB - 巢狀 if 語句
- MATLAB - switch 語句
- MATLAB - 巢狀 switch
- MATLAB - 迴圈
- MATLAB - 迴圈
- MATLAB - for 迴圈
- MATLAB - while 迴圈
- MATLAB - 巢狀迴圈
- MATLAB - break 語句
- MATLAB - continue 語句
- MATLAB - end 語句
- MATLAB - 陣列
- MATLAB - 陣列
- MATLAB - 向量
- MATLAB - 轉置運算子
- MATLAB - 陣列索引
- MATLAB - 多維陣列
- MATLAB - 相容陣列
- MATLAB - 分類陣列
- MATLAB - 元胞陣列
- MATLAB - 矩陣
- MATLAB - 稀疏矩陣
- MATLAB - 表格
- MATLAB - 結構體
- MATLAB - 陣列乘法
- MATLAB - 陣列除法
- MATLAB - 陣列函式
- MATLAB - 函式
- MATLAB - 函式
- MATLAB - 函式引數
- MATLAB - 匿名函式
- MATLAB - 巢狀函式
- MATLAB - return 語句
- MATLAB - 空函式
- MATLAB - 區域性函式
- MATLAB - 全域性變數
- MATLAB - 函式控制代碼
- MATLAB - 濾波函式
- MATLAB - 階乘
- MATLAB - 私有函式
- MATLAB - 子函式
- MATLAB - 遞迴函式
- MATLAB - 函式優先順序順序
- MATLAB - map 函式
- MATLAB - mean 函式
- MATLAB - end 函式
- MATLAB - 錯誤處理
- MATLAB - 錯誤處理
- MATLAB - try...catch 語句
- MATLAB - 除錯
- MATLAB - 繪圖
- MATLAB - 繪圖
- MATLAB - 繪製陣列
- MATLAB - 繪製向量
- MATLAB - 條形圖
- MATLAB - 直方圖
- MATLAB - 圖形
- MATLAB - 二維線圖
- MATLAB - 三維圖
- MATLAB - 圖表格式化
- MATLAB - 對數座標軸圖
- MATLAB - 繪製誤差條
- MATLAB - 繪製三維等值線圖
- MATLAB - 極座標圖
- MATLAB - 散點圖
- MATLAB - 繪製表示式或函式
- MATLAB - 繪製矩形
- MATLAB - 繪製頻譜圖
- MATLAB - 繪製網格曲面
- MATLAB - 繪製正弦波
- MATLAB - 插值
- MATLAB - 插值
- MATLAB - 線性插值
- MATLAB - 二維陣列插值
- MATLAB - 三維陣列插值
- MATLAB - 多項式
- MATLAB - 多項式
- MATLAB - 多項式加法
- MATLAB - 多項式乘法
- MATLAB - 多項式除法
- MATLAB - 多項式的導數
- MATLAB - 變換
- MATLAB - 變換函式
- MATLAB - 拉普拉斯變換
- MATLAB - 拉普拉斯濾波器
- MATLAB - 高斯-拉普拉斯濾波器
- MATLAB - 逆傅立葉變換
- MATLAB - 傅立葉變換
- MATLAB - 快速傅立葉變換
- MATLAB - 二維逆餘弦變換
- MATLAB - 向座標軸新增圖例
- MATLAB - 面向物件
- MATLAB - 面向物件程式設計
- MATLAB - 類和物件
- MATLAB - 函式過載
- MATLAB - 運算子過載
- MATLAB - 使用者自定義類
- MATLAB - 複製物件
- MATLAB - 代數
- MATLAB - 線性代數
- MATLAB - 高斯消去法
- MATLAB - 高斯-約旦消去法
- MATLAB - 簡化行階梯形
- MATLAB - 特徵值和特徵向量
- MATLAB - 積分
- MATLAB - 積分
- MATLAB - 二重積分
- MATLAB - 梯形法則
- MATLAB - 辛普森法則
- MATLAB - 其他
- MATLAB - 微積分
- MATLAB - 微分
- MATLAB - 矩陣的逆
- MATLAB - GNU Octave
- MATLAB - Simulink
- MATLAB - 有用資源
- MATLAB - 快速指南
- MATLAB - 有用資源
- MATLAB - 討論
MATLAB - 微積分
MATLAB 提供多種方法來解決微積分問題,求解任意階次的微分方程以及計算極限。最重要的是,您可以輕鬆繪製複雜函式的圖形,並透過求解原函式及其導數來檢查圖形上的最大值、最小值和其他靜止點。
本章將討論微積分問題。本章將討論預備微積分概念,即計算函式極限和驗證極限的性質。
在下一章微分中,我們將計算表示式的導數,並在圖形上找到區域性最大值和最小值。我們還將討論求解微分方程。
最後,在積分章節中,我們將討論積分學。
計算極限
MATLAB 提供了limit函式用於計算極限。在其最基本的形式中,limit函式將表示式作為引數,並找到當自變數趨於零時表示式的極限。
例如,讓我們計算函式 f(x) = (x3 + 5)/(x4 + 7) 在 x 趨於零時的極限。
syms x limit((x^3 + 5)/(x^4 + 7))
MATLAB 將執行上述語句並返回以下結果:
ans = 5/7
limit 函式屬於符號計算的範疇;您需要使用syms函式來告訴 MATLAB 您正在使用哪些符號變數。您還可以計算函式的極限,當變數趨於某個非零數時。要計算 lim x->a(f(x)),我們使用 limit 命令及其引數。第一個是表示式,第二個是 x 趨近的數字,這裡它是 a。
例如,讓我們計算函式 f(x) = (x-3)/(x-1) 在 x 趨於 1 時的極限。
limit((x - 3)/(x-1),1)
MATLAB 將執行上述語句並返回以下結果:
ans = NaN
讓我們來看另一個例子:
limit(x^2 + 5, 3)
MATLAB 將執行上述語句並返回以下結果:
ans = 14
使用 Octave 計算極限
以下是使用symbolic包的上述示例的 Octave 版本,嘗試執行並比較結果:
pkg load symbolic symbols x = sym("x"); subs((x^3+5)/(x^4+7),x,0)
Octave 將執行上述語句並返回以下結果:
ans = 0.7142857142857142857
驗證極限的基本性質
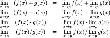
代數極限定理提供了一些極限的基本性質。這些性質如下:

讓我們考慮兩個函式:
- f(x) = (3x + 5)/(x - 3)
- g(x) = x2 + 1。
讓我們計算這兩個函式在 x 趨於 5 時的極限,並使用這兩個函式和 MATLAB 驗證極限的基本性質。
示例
建立一個指令碼檔案,並將以下程式碼輸入其中:
syms x f = (3*x + 5)/(x-3); g = x^2 + 1; l1 = limit(f, 4) l2 = limit (g, 4) lAdd = limit(f + g, 4) lSub = limit(f - g, 4) lMult = limit(f*g, 4) lDiv = limit (f/g, 4)
執行該檔案時,它將顯示:
l1 = 17 l2 = 17 lAdd = 34 lSub = 0 lMult = 289 lDiv = 1
使用 Octave 驗證極限的基本性質
以下是使用symbolic包的上述示例的 Octave 版本,嘗試執行並比較結果:
pkg load symbolic symbols x = sym("x"); f = (3*x + 5)/(x-3); g = x^2 + 1; l1 = subs(f, x, 4) l2 = subs (g, x, 4) lAdd = subs (f+g, x, 4) lSub = subs (f-g, x, 4) lMult = subs (f*g, x, 4) lDiv = subs (f/g, x, 4)
Octave 將執行上述語句並返回以下結果:
l1 = 17.0 l2 = 17.0 lAdd = 34.0 lSub = 0.0 lMult = 289.0 lDiv = 1.0
左側和右側極限
當函式在變數的某個特定值處有不連續性時,該點的極限不存在。換句話說,當 x 從左側逼近 a 時極限的值不等於 x 從右側逼近 a 時極限的值時,函式 f(x) 在 x = a 處具有不連續性。
這導致了左極限和右極限的概念。左極限定義為 x 從左側趨於 a 的極限,即 x 對於 x < a 的值逼近 a。右極限定義為 x 從右側趨於 a 的極限,即 x 對於 x > a 的值逼近 a。當左極限和右極限不相等時,極限不存在。
讓我們考慮一個函式:
f(x) = (x - 3)/|x - 3|
我們將證明 limx->3 f(x) 不存在。MATLAB 透過兩種方式幫助我們確定這一事實:
- 透過繪製函式圖形並顯示不連續性。
- 透過計算極限並顯示兩者不同。
左極限和右極限是透過將字元字串“left”和“right”作為最後一個引數傳遞給 limit 命令來計算的。
示例
建立一個指令碼檔案,並將以下程式碼輸入其中:
f = (x - 3)/abs(x-3); ezplot(f,[-1,5]) l = limit(f,x,3,'left') r = limit(f,x,3,'right')
執行該檔案時,MATLAB 將繪製以下圖形

之後將顯示以下輸出:
l = -1 r = 1