- 數字影像處理
- DIP - 首頁
- DIP - 影像處理介紹
- DIP - 訊號與系統介紹
- DIP - 攝影史
- DIP - 應用和用途
- DIP - 維度概念
- DIP - 相機成像
- DIP - 相機機制
- DIP - 畫素概念
- DIP - 透視變換
- DIP - 每畫素位元數概念
- DIP - 影像型別
- DIP - 顏色程式碼轉換
- DIP - 灰度到RGB轉換
- DIP - 取樣概念
- DIP - 畫素解析度
- DIP - 放大概念
- DIP - 放大方法
- DIP - 空間解析度
- DIP - 畫素、點和每英寸線條數
- DIP - 灰度級解析度
- DIP - 量化概念
- DIP - ISO 標準曲線
- DIP - 抖動概念
- DIP - 直方圖介紹
- DIP - 亮度和對比度
- DIP - 影像變換
- DIP - 直方圖滑動
- DIP - 直方圖拉伸
- DIP - 機率論介紹
- DIP - 直方圖均衡化
- DIP - 灰度級變換
- DIP - 卷積概念
- DIP - 掩模概念
- DIP - 模糊概念
- DIP - 邊緣檢測概念
- DIP - Prewitt運算元
- DIP - Sobel運算元
- DIP - Robinson羅盤掩模
- DIP - Krisch羅盤掩模
- DIP - Laplacian運算元
- DIP - 頻域分析
- DIP - 傅立葉級數和變換
- DIP - 卷積定理
- DIP - 高通濾波器與低通濾波器
- DIP - 顏色空間介紹
- DIP - JPEG壓縮
- DIP - 光學字元識別
- DIP - 計算機視覺與圖形學
- DIP 有用資源
- DIP - 快速指南
- DIP - 有用資源
- DIP - 討論
畫素、點和每英寸線條數
在上一個關於空間解析度的教程中,我們簡要介紹了PPI、DPI和LPI。現在我們將正式討論它們。
每英寸畫素數 (PPI)
畫素密度或每英寸畫素數是衡量平板電腦、手機等不同裝置空間解析度的指標。
PPI越高,質量越高。為了更好地理解它以及如何計算它,讓我們計算一下一部手機的PPI。
計算三星Galaxy S4的每英寸畫素數 (PPI)
三星Galaxy S4的PPI或畫素密度為441。但是它是如何計算的呢?
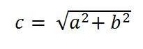
首先,我們將使用勾股定理來計算畫素的對角線解析度。
它可以表示為
其中a和b是畫素的高度和寬度解析度,c是畫素的對角線解析度。
對於三星Galaxy S4,它是1080 x 1920畫素。
因此,將這些值代入方程式得到結果
C = 2202.90717
現在我們將計算PPI
PPI = c / 對角線尺寸(英寸)
三星Galaxy S4的對角線尺寸為5.0英寸,這可以從任何地方得到證實。
PPI = 2202.90717 / 5.0
PPI = 440.58
PPI ≈ 441
這意味著三星Galaxy S4的畫素密度為441 PPI。
每英寸點數 (DPI)
DPI通常與PPI相關,但兩者之間存在差異。DPI或每英寸點數是衡量印表機空間解析度的指標。對於印表機而言,DPI表示在影像從印表機打印出來時,每英寸列印了多少墨點。
請記住,並非每個畫素都由一個墨點列印。可能需要多個墨點來列印一個畫素。其原因在於大多數彩色印表機使用CMYK模式。顏色是有限的。印表機必須從這些顏色中選擇來建立畫素的顏色,而在電腦中,您可以擁有成千上萬種顏色。
印表機的DPI越高,列印到紙張上的文件或影像質量越高。
通常,一些雷射印表機的DPI為300,有些則為600或更高。
每英寸線條數 (LPI)
當DPI指的是每英寸點數時,每英寸線條數指的是每英寸的點線數。半色調網點的解析度以每英寸線條數來衡量。
下表顯示了一些印表機的每英寸線條數容量。
| 印表機 | LPI |
|---|---|
| 絲網印刷 | 45-65 lpi |
| 雷射印表機 (300 dpi) | 65 lpi |
| 雷射印表機 (600 dpi) | 85-105 lpi |
| 膠印機 (新聞紙) | 85 lpi |
| 膠印機 (塗層紙) | 85-185 lpi |
廣告