- 數字影像處理
- DIP - 首頁
- DIP - 影像處理介紹
- DIP - 訊號與系統介紹
- DIP - 攝影史
- DIP - 應用與用途
- DIP - 維度的概念
- DIP - 相機成像
- DIP - 相機機制
- DIP - 畫素的概念
- DIP - 透視變換
- DIP - 每畫素位元數的概念
- DIP - 影像型別
- DIP - 顏色程式碼轉換
- DIP - 灰度到RGB轉換
- DIP - 取樣的概念
- DIP - 畫素解析度
- DIP - 放大縮小的概念
- DIP - 放大縮小方法
- DIP - 空間解析度
- DIP - 每英寸畫素、點和線
- DIP - 灰度級解析度
- DIP - 量化的概念
- DIP - ISO 偏好曲線
- DIP - 抖動的概念
- DIP - 直方圖介紹
- DIP - 亮度和對比度
- DIP - 影像變換
- DIP - 直方圖滑動
- DIP - 直方圖拉伸
- DIP - 機率論導論
- DIP - 直方圖均衡化
- DIP - 灰度級變換
- DIP - 卷積的概念
- DIP - 掩碼的概念
- DIP - 模糊的概念
- DIP - 邊緣檢測的概念
- DIP - Prewitt 運算元
- DIP - Sobel 運算元
- DIP - Robinson 羅盤掩碼
- DIP - Krisch 羅盤掩碼
- DIP - 拉普拉斯運算元
- DIP - 頻域分析
- DIP - 傅立葉級數和變換
- DIP - 卷積定理
- DIP - 高通濾波器與低通濾波器
- DIP - 顏色空間介紹
- DIP - JPEG 壓縮
- DIP - 光學字元識別
- DIP - 計算機視覺與圖形學
- DIP 有用資源
- DIP - 快速指南
- DIP - 有用資源
- DIP - 討論
直方圖拉伸
我們在直方圖介紹教程中討論過的直方圖的另一個優點是對比度增強。
有兩種增強對比度的方法。第一種稱為直方圖拉伸,它可以增加對比度。第二種稱為直方圖均衡化,它可以增強對比度,並且已經在我們的直方圖均衡化教程中進行了討論。
在討論直方圖拉伸以增加對比度之前,我們將簡要定義對比度。
對比度
對比度是最大和最小畫素強度之間的差異。
考慮這張圖片。
此影像的直方圖如下所示。
現在我們從這張圖片計算對比度。
對比度 = 225。
現在我們將增加影像的對比度。
增加影像的對比度
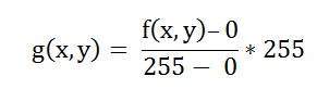
拉伸影像直方圖以增加對比度的公式為
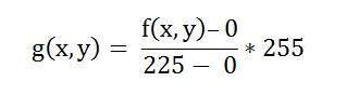
該公式需要找到最小和最大畫素強度乘以灰度級。在我們的例子中,影像為 8bpp,所以灰度級為 256。
最小值為 0,最大值為 225。因此,在我們的例子中,公式為
其中 f(x,y) 表示每個畫素強度的值。對於影像中的每個 f(x,y),我們將計算此公式。
完成此操作後,我們將能夠增強對比度。
應用直方圖拉伸後,將顯示以下影像。
此影像的拉伸直方圖如下所示。
注意直方圖的形狀和對稱性。直方圖現在被拉伸或以其他方式展開。看看它。
在這種情況下,可以計算影像的對比度為
對比度 = 240
因此,我們可以說影像的對比度有所提高。
注意:這種增加對比度的方法並不總是有效,但在某些情況下會失敗。
直方圖拉伸的失敗
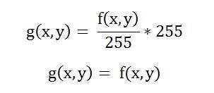
正如我們所討論的,該演算法在某些情況下會失敗。這些情況包括影像中存在畫素強度 0 和 255 的情況
因為當影像中存在畫素強度 0 和 255 時,在這種情況下,它們成為最小和最大畫素強度,這會破壞類似這樣的公式。
原始公式
將失敗案例值代入公式
簡化該表示式得到
這意味著輸出影像等於處理後的影像。這意味著此影像上沒有進行直方圖拉伸的效果。
廣告