- 數字影像處理
- DIP - 首頁
- DIP - 影像處理導論
- DIP - 訊號與系統導論
- DIP - 攝影史
- DIP - 應用與使用
- DIP - 維度的概念
- DIP - 相機成像
- DIP - 相機機制
- DIP - 畫素的概念
- DIP - 透視變換
- DIP - 每畫素位數的概念
- DIP - 影像型別
- DIP - 顏色程式碼轉換
- DIP - 灰度到RGB轉換
- DIP - 取樣的概念
- DIP - 畫素解析度
- DIP - 放大的概念
- DIP - 放大方法
- DIP - 空間解析度
- DIP - 每英寸畫素、點和線
- DIP - 灰度解析度
- DIP - 量化的概念
- DIP - ISO 偏好曲線
- DIP - 抖動的概念
- DIP - 直方圖導論
- DIP - 亮度和對比度
- DIP - 影像變換
- DIP - 直方圖滑動
- DIP - 直方圖拉伸
- DIP - 機率論導論
- DIP - 直方圖均衡化
- DIP - 灰度變換
- DIP - 卷積的概念
- DIP - 掩碼的概念
- DIP - 模糊的概念
- DIP - 邊緣檢測的概念
- DIP - Prewitt運算元
- DIP - Sobel運算元
- DIP - Robinson羅盤掩模
- DIP - Krisch羅盤掩模
- DIP - 拉普拉斯運算元
- DIP - 頻域分析
- DIP - 傅立葉級數和變換
- DIP - 卷積定理
- DIP - 高通濾波器與低通濾波器
- DIP - 顏色空間導論
- DIP - JPEG壓縮
- DIP - 光學字元識別
- DIP - 計算機視覺與圖形學
- DIP 有用資源
- DIP - 快速指南
- DIP - 有用資源
- DIP - 討論
傅立葉級數和變換
在上一篇關於頻域分析的教程中,我們討論了傅立葉級數和傅立葉變換用於將訊號轉換為頻域。
傅立葉
傅立葉是1822年的數學家。他提出了傅立葉級數和傅立葉變換,用於將訊號轉換為頻域。
傅立葉級數
傅立葉級數簡單地說,週期訊號可以表示為正弦和餘弦的和,並乘以一定的權重。它進一步指出,週期訊號可以分解成具有以下屬性的更進一步的訊號。
- 這些訊號是正弦和餘弦
- 這些訊號彼此是諧波關係
它可以用圖示的方式表示為
在上圖中,最後一個訊號實際上是所有上面訊號的總和。這是傅立葉的想法。
如何計算
正如我們在頻域中看到的,為了在頻域中處理影像,我們需要首先使用它將其轉換為頻域,並且我們必須取輸出的逆變換以將其轉換回空間域。這就是為什麼傅立葉級數和傅立葉變換都有兩個公式。一個用於轉換,另一個用於將其轉換回空間域。
傅立葉級數
傅立葉級數可以用這個公式表示。
逆變換可以透過這個公式計算。
傅立葉變換
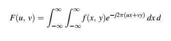
傅立葉變換簡單地說,曲線下面積有限的非週期訊號也可以表示為正弦和餘弦的積分,並乘以一定的權重。
傅立葉變換有很多廣泛的應用,包括影像壓縮(例如JPEG壓縮)、濾波和影像分析。
傅立葉級數和變換的區別
儘管傅立葉級數和傅立葉變換都是由傅立葉提出的,但它們之間的區別在於傅立葉級數應用於週期訊號,而傅立葉變換應用於非週期訊號。
哪一個應用於影像
現在問題是,哪一個應用於影像,傅立葉級數還是傅立葉變換。這個問題的答案在於影像的本質。影像是非週期的。由於影像是非週期的,因此使用傅立葉變換將其轉換為頻域。
離散傅立葉變換
由於我們正在處理影像,事實上是數字影像,因此對於數字影像,我們將使用離散傅立葉變換。
考慮上面正弦波的傅立葉項。它包含三件事。
- 空間頻率
- 幅度
- 相位
空間頻率與影像的亮度直接相關。正弦波的幅度與對比度直接相關。對比度是最大和最小畫素強度之間的差異。相位包含顏色資訊。
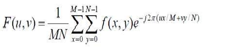
二維離散傅立葉變換的公式如下所示。
離散傅立葉變換實際上是傅立葉變換的取樣,因此它包含一些表示影像的樣本。在上式中,f(x,y)表示影像,F(u,v)表示離散傅立葉變換。二維離散傅立葉逆變換的公式如下所示。
離散傅立葉逆變換將傅立葉變換轉換回影像。
考慮這個訊號
現在我們將看到一個影像,我們將計算它的FFT幅度譜,然後計算移位的FFT幅度譜,然後取該移位譜的對數。
原始影像
傅立葉變換幅度譜
移位的傅立葉變換
移位的幅度譜