- 數字影像處理
- DIP - 首頁
- DIP - 影像處理簡介
- DIP - 訊號與系統簡介
- DIP - 攝影史
- DIP - 應用與用途
- DIP - 維度的概念
- DIP - 相機成像原理
- DIP - 相機機制
- DIP - 畫素的概念
- DIP - 透視變換
- DIP - 每畫素位數的概念
- DIP - 影像型別
- DIP - 顏色程式碼轉換
- DIP - 灰度到RGB轉換
- DIP - 取樣的概念
- DIP - 畫素解析度
- DIP - 放大的概念
- DIP - 放大方法
- DIP - 空間解析度
- DIP - 每英寸畫素、點和線
- DIP - 灰度級解析度
- DIP - 量化的概念
- DIP - ISO 偏好曲線
- DIP - 抖動的概念
- DIP - 直方圖簡介
- DIP - 亮度和對比度
- DIP - 影像變換
- DIP - 直方圖滑動
- DIP - 直方圖拉伸
- DIP - 機率論導論
- DIP - 直方圖均衡化
- DIP - 灰度級變換
- DIP - 卷積的概念
- DIP - 掩碼的概念
- DIP - 模糊的概念
- DIP - 邊緣檢測的概念
- DIP - Prewitt運算元
- DIP - Sobel運算元
- DIP - Robinson羅盤掩碼
- DIP - Krisch羅盤掩碼
- DIP - Laplacian運算元
- DIP - 頻域分析
- DIP - 傅立葉級數和變換
- DIP - 卷積定理
- DIP - 高通濾波器與低通濾波器
- DIP - 色彩空間導論
- DIP - JPEG壓縮
- DIP - 光學字元識別
- DIP - 計算機視覺與圖形學
- DIP 有用資源
- DIP - 快速指南
- DIP - 有用資源
- DIP - 討論
影像變換
在討論什麼是影像變換之前,我們將先討論什麼是變換。
變換
變換是一個函式。一個函式,在執行某些操作後,將一個集合對映到另一個集合。
數字影像處理系統
我們已經在入門教程中看到,在數字影像處理中,我們將開發一個系統,其輸入將是一幅影像,輸出也將是一幅影像。並且該系統將在輸入影像上執行一些處理,並將其輸出作為處理後的影像。如下圖所示。
現在,應用於此數字系統內部的函式,處理影像並將其轉換為輸出,可以稱為變換函式。
它顯示了變換或關係,即影像1如何轉換為影像2。
影像變換
考慮這個等式
G(x,y) = T{ f(x,y) }
在這個等式中,
F(x,y) = 要應用變換函式的輸入影像。
G(x,y) = 輸出影像或處理後的影像。
T 是變換函式。
輸入影像和處理後的輸出影像之間的這種關係也可以表示為。
s = T (r)
其中 r 實際上是 f(x,y) 在任何點的畫素值或灰度強度。而 s 是 g(x,y) 在任何點的畫素值或灰度強度。
基本的灰度級變換已在我們的基本灰度級變換教程中進行了討論。
現在我們將討論一些非常基本的變化函式。
示例
考慮這個變換函式。
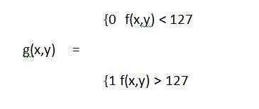
假設點 r 為 256,點 p 為 127。將此影像視為一幅 1 bpp 影像。這意味著我們只有兩個強度級別,即 0 和 1。因此,在這種情況下,圖形所示的變換可以解釋為:
所有低於 127(點 p)的畫素強度值均為 0,表示黑色。所有大於 127 的畫素強度值均為 1,表示白色。但在 127 的精確點,傳輸發生了突然變化,因此我們無法判斷在該精確點,值是 0 還是 1。
從數學上講,此變換函式可以表示為
考慮另一個這樣的變換
現在,如果您檢視此特定圖形,您將看到輸入影像和輸出影像之間存在一條直線過渡線。
它表明,對於輸入影像的每個畫素或強度值,輸出影像都有一個相同的強度值。這意味著輸出影像與輸入影像完全相同。
它可以用數學方式表示為
g(x,y) = f(x,y)
在這種情況下,輸入和輸出影像如下所示。