- 數字影像處理
- DIP - 首頁
- DIP - 影像處理簡介
- DIP - 訊號與系統簡介
- DIP - 攝影史
- DIP - 應用與用途
- DIP - 維度的概念
- DIP - 相機成像原理
- DIP - 相機機制
- DIP - 畫素的概念
- DIP - 透視變換
- DIP - 每畫素位元數的概念
- DIP - 影像型別
- DIP - 顏色程式碼轉換
- DIP - 灰度到RGB轉換
- DIP - 取樣的概念
- DIP - 畫素解析度
- DIP - 放大的概念
- DIP - 放大方法
- DIP - 空間解析度
- DIP - 每英寸畫素、點和線
- DIP - 灰度級解析度
- DIP - 量化的概念
- DIP - ISO 偏好曲線
- DIP - 抖動的概念
- DIP - 直方圖簡介
- DIP - 亮度和對比度
- DIP - 影像變換
- DIP - 直方圖滑動
- DIP - 直方圖拉伸
- DIP - 機率論簡介
- DIP - 直方圖均衡化
- DIP - 灰度級變換
- DIP - 卷積的概念
- DIP - 掩碼的概念
- DIP - 模糊的概念
- DIP - 邊緣檢測的概念
- DIP - Prewitt 運算元
- DIP - Sobel 運算元
- DIP - Robinson 羅盤掩碼
- DIP - Krisch 羅盤掩碼
- DIP - 拉普拉斯運算元
- DIP - 頻域分析
- DIP - 傅立葉級數和變換
- DIP - 卷積定理
- DIP - 高通濾波器與低通濾波器
- DIP - 顏色空間簡介
- DIP - JPEG 壓縮
- DIP - 光學字元識別
- DIP - 計算機視覺與圖形學
- DIP 有用資源
- DIP - 快速指南
- DIP - 有用資源
- DIP - 討論
JPEG壓縮簡介
在我們上一篇關於影像壓縮的教程中,我們討論了一些用於壓縮的技術。
我們將討論JPEG壓縮,這是一種有失真壓縮,因為最終會損失一些資料。
讓我們首先討論什麼是影像壓縮。
影像壓縮
影像壓縮是對數字影像進行資料壓縮的方法。
影像壓縮的主要目標是
- 以高效的形式儲存資料
- 以高效的形式傳輸資料
影像壓縮可以是有損的或無損的。
JPEG壓縮
JPEG代表聯合影像專家組。它是影像壓縮的第一個國際標準。它在今天被廣泛使用。它可以是有損的,也可以是無損的。但我們今天要討論的技術是有失真壓縮技術。
JPEG壓縮是如何工作的?
第一步是將影像劃分為塊,每個塊的尺寸為8 x 8。
為了記錄,假設這幅8x8影像包含以下值。
畫素強度的範圍現在是從0到255。我們將範圍更改為-128到127。
從每個畫素值中減去128會產生-128到127的畫素值。從每個畫素值中減去128後,我們得到了以下結果。
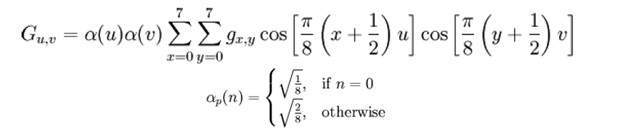
現在我們將使用此公式進行計算。
結果儲存在例如A(j,k)矩陣中。
有一個用於計算JPEG壓縮的標準矩陣,它由一個稱為亮度矩陣的矩陣給出。
該矩陣如下所示
應用以下公式
應用後我們得到了這個結果。
現在我們將執行JPEG壓縮中真正使用的技巧,即之字形移動。上面矩陣的之字形序列如下所示。您必須執行之字形操作,直到您在前面找到所有零。因此,我們的影像現在已壓縮。
JPEG壓縮總結
第一步是將影像轉換為Y'CbCr並僅選擇Y'通道並將其分解為8 x 8塊。然後從第一個塊開始,將範圍對映到-128到127。之後,您必須找到矩陣的離散傅立葉變換。此結果應進行量化。最後一步是以之字形方式應用編碼,並執行此操作直到找到所有零。
儲存這個一維陣列,你就完成了。
注意。您必須對所有8 x 8的塊重複此過程。
廣告