軟體測試 - 資料流測試



軟體測試包括白盒測試、黑盒測試和灰盒測試方法。白盒測試主要處理資料結構、演算法、邏輯、流程和程式碼的驗證。它還需要了解軟體的內部結構。資料流測試是白盒測試下的一個概念。它是一種旨在評估變數在程式中如何定義和使用的技術。

什麼是軟體資料流測試?

軟體資料流測試是白盒測試的一個組成部分。它藉助控制流圖來確定變數定義和隨後使用的位置的路徑。這樣做的唯一目的是檢測諸如定義不準確等問題,並識別未使用的變數。透過跟蹤資料流,它可以確認變數在程式碼中得到正確處理和充分利用。

軟體資料流測試定義了一種方法,該方法用於根據程式中變數的定義和使用位置來獲得程式碼的測試路徑。它與資料流圖無關。它主要關注變數獲取值的位置以及這些值被使用或引用的位置。

軟體資料流測試藉助控制流圖來確定可能影響程式流的情況。下面列出了一些在變數和值一起使用時在資料流中觀察到的問題:

  1. 變數已定義但未使用或未引用。
  2. 變數已使用但未定義。
  3. 變數在使用之前已定義多次。

軟體資料流測試生成觸及變數定義及其在模組中使用的控制流路徑的測試用例。

軟體資料流測試的型別

軟體資料流測試的不同型別如下:

1. 所有DU路徑測試 - 它指的是所有定義使用路徑。它驗證從變數定義到使用的所有可能的路徑。

2. 所有DU路徑謂詞節點測試 - 它驗證謂詞節點或決策點,它們是控制流圖的一部分。

3. 所有使用測試 - 它驗證變數被使用的每個位置。

4. 所有定義測試 - 它驗證變數被定義的每個位置。

5. 所有P使用測試 - 它指的是所有可能的使用。它驗證變數的所有可能用途。

6. 所有C使用測試 - 它指的是所有計算使用。它驗證變數用於計算的所有可能的路徑。

7. 所有I使用測試 - 它指的是所有輸入使用。它驗證變數從外部輸入獲取的所有可能的路徑。

8. 所有O使用測試 - 它指的是所有輸出使用。它驗證變數用於生成輸出的所有可能的路徑。

9. 定義-使用對測試 - 它關注變數的特定定義和使用對。

10. 使用-定義路徑測試 - 它評估導致變數被使用然後定義的路徑。

示例

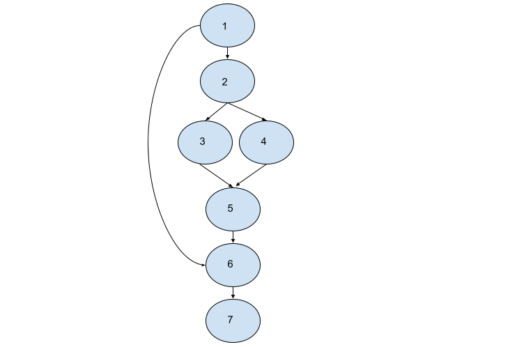
讓我們來看一個程式碼塊的例子,從中我們可以建立控制流圖,然後評估資料流測試。

IF M = 550
   THEN IF N > O
   THEN M = N
   ELSE M = O
      END IF
   END IF
PRINT M

上面幾行程式碼的控制流圖如下所示:

Software Data Flow Testing

下表說明了上述示例中控制流圖中各個節點上變數的使用和定義:

變數 定義的節點 在節點編號處使用
M 3 ,4 1, 7
N NA 2, 3
O NA 4

從上表可以看出,變數N和O從未被定義,但在程式中隨後被使用。

軟體資料流測試的優點

軟體資料流測試的優點如下:

  • 軟體資料流測試可以識別已使用但未定義的變數。
  • 軟體資料流測試可以識別已定義但未使用的變數。
  • 軟體資料流測試可以識別在使用前已定義多次的變數。
  • 軟體資料流測試有助於在變數被使用前釋放變數。

軟體資料流測試的缺點

軟體資料流測試的缺點如下:

  • 軟體資料流測試是一項昂貴且耗時的活動。
  • 執行軟體資料流測試的測試人員應該經驗豐富,並且應該具備技術和程式設計技能。

結論

本教程對軟體資料流測試進行了全面的講解。我們首先介紹了什麼是軟體資料流測試,軟體資料流測試的不同型別,並透過示例來說明資料流測試,最後分析了軟體資料流測試的優缺點。 透過學習本教程,您將掌握軟體資料流測試的深入知識。建議您持續練習所學內容,並探索與軟體測試相關的其他知識,以加深理解,拓寬視野。

廣告
© . All rights reserved.