已知多項式$(2x^4 - 9x^3 + 5x^2 + 3x - 1)$的兩個零點是$(2+\sqrt{3})$和$(2-\sqrt{3})$,求該多項式的所有零點。
已知:多項式$(2x^4 - 9x^3 + 5x^2 + 3x - 1)$,其中兩個零點是$(2+\sqrt{3})$和$(2-\sqrt{3})$。
求解:求該多項式的所有零點。
解
已知$(2+\sqrt{3})$和$(2-\sqrt{3})$是兩個零點
$[x - (2+\sqrt{3})][x - (2-\sqrt{3})] = (x - 2 - \sqrt{3})(x - 2 + \sqrt{3})$
$= [(x-2) - \sqrt{3}][(x-2) + \sqrt{3}]$
$= (x-2)^2 - (\sqrt{3})^2$
$= x^2 - 4x + 4 - 3$
$= x^2 - 4x + 1$
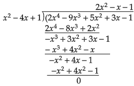
$x^2 - 4x + 1$是已知多項式的因式。
用該因式去除已知多項式。

因此,$2x^2 - x - 1$也是已知多項式的因式。
$2x^2 - x - 1 = 2x^2 - 2x + x - 1$
$= 2x(x - 1) + (x - 1)$
$= (x - 1)(2x + 1)$
如果$x - 1 = 0$
$x = 1$
如果$2x + 1 = 0$
$x = -\frac{1}{2}$
因此,已知多項式的另外兩個零點是1和$-\frac{1}{2}$。
廣告
資料結構
網路
關係資料庫管理系統 (RDBMS)
作業系統
Java
iOS
HTML
CSS
Android
Python
C語言程式設計
C++
C#
MongoDB
MySQL
Javascript
PHP