如果$\sqrt{3}$和$-\sqrt{3}$是$( x^{4}+x^{3}-23 x^{2}=3 x+60)$的零點,求出該多項式的所有零點。
已知:$\sqrt{3}$和$-\sqrt{3}$是$( x^{4}+x^{3}-23 x^{2}=3 x+60)$的零點。
要求:求出該多項式的所有零點。
解
令 $f( x)=x^4+x^3-23x^2-3x+60$
如題所述,$\sqrt{3}$和$-\sqrt{3}$是該多項式的零點。
$( x-\sqrt{3})$和$(x+\sqrt{3})$是$f( x)$的因式。
$( x-\sqrt{3})(x+\sqrt{3})$ 也會是$f( x)$的因式。
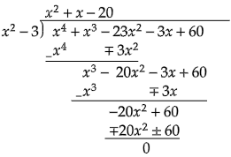
用$( x^2-3)$除以$f( x)$。

令 $f( x)=0$。
$( x^2+x-20)( x^2-3)=0$
$\Rightarrow ( x^2+5x-4x-20)( x^2-3)=0$
$\Rightarrow [ x( x+5)-4( x+5)]( x^2-3)=0$
$\Rightarrow ( x-4)( x+5)( x+3)( x-3)=0$
$\Rightarrow x=4$ 或 $x=-5$ 或 $x=\sqrt{3}$ 或 $x=-\sqrt{3}$
因此,該多項式的所有零點為 $\sqrt{3},\ -\sqrt{3},\ 4$ 和 $-5$。
廣告
資料結構
網路
RDBMS
作業系統
Java
iOS
HTML
CSS
Android
Python
C 語言程式設計
C++
C#
MongoDB
MySQL
Javascript
PHP