多項式 $f(x)=ax^3+bx-c$ 可以被多項式 $g(x)=x^2+bx+c$ 整除。求 $ab$ 的值。
已知:多項式 $f(x)=ax^3+bx-c$ 可以被多項式 $g(x)=x^2+bx+c$ 整除。
要求:求 $ab$ 的值。
解答
如題所述,多項式 $f(x)=ax^3+bx-c$ 可以被多項式 $g(x)=x^2+bx+c$ 整除。
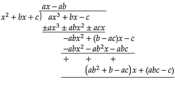
透過長除法

我們發現餘數為 $( ab^2+b-ac)x+( abc-c)$
$\because f( x)$ 可以被 $g( x)$ 整除,所以餘數應該為 $0$。
$\Rightarrow ( ab^2+b-ac)x+( abc-c)=0$
$\Rightarrow ( ab^2+b-ac)x=0$ 且 $( abc-c)=0$
如果 $( abc-c)=0$
$\Rightarrow abc=c$
$\Rightarrow ab=1$
因此,$ab=1$
廣告
資料結構
網路
關係型資料庫管理系統
作業系統
Java
iOS
HTML
CSS
Android
Python
C 語言程式設計
C++
C#
MongoDB
MySQL
Javascript
PHP