檢查第一個多項式是否為第二個多項式的因式,方法是將第二個多項式除以第一個多項式
$x^2 + 3x + 1, 3x^4+5x^3-7x^2+2x + 2$
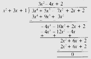
已知
$x^2 + 3x + 1, 3x^4+5x^3-7x^2+2x + 2$
要做的事情
我們必須檢查第一個多項式是否為第二個多項式的因式,方法是將第二個多項式除以第一個多項式。
解決方案
應用除法演算法,
設被除數 $f(x)=3x^4+5x^3-7x^2+2x + 2$
除數 $g(x) =x^2 + 3x + 1$
如果 $g(x)$ 是 $f(x)$ 的因式,則長除法的餘數應為 $0$。

因此, $g(x)$ 是 $f(x)$ 的因式。
- 相關文章
- 透過將第二個多項式除以第一個多項式,檢查第一個多項式是否為第二個多項式的因式:(i) $t^2-3, 2t^4 + t^3 - 2t^2 - 9t - 12$(ii) $x^2 + 3x + 1, 3x^4+5x^3-7x^2+2x + 2$(iii) $x^3 -3x + 1, x^5 - 4x^3 + x^2 + 3x + l$
- 透過將第二個多項式除以第一個多項式,檢查第一個多項式是否為第二個多項式的因式:$x^3 -3x + 1, x^5 - 4x^3 + x^2 + 3x + l$
- 找出第二個多項式是否為第一個多項式的因式:15x^2 + x - 6, 3x + 2
- 透過應用除法演算法,檢查第一個多項式是否為第二個多項式的因式:$g(x)\ =\ x^3\ –\ 3x\ +\ 1;\ f(x)\ =\ x^5\ –\ 4x^3\ +\ x^2\ +\ 3x\ +\ 1$
- 透過應用除法演算法,檢查第一個多項式是否為第二個多項式的因式:$g(x)\ =\ 2x^2\ –\ x\ +\ 3;\ f(x)\ =\ 6x^5\ −\ x^4\ +\ 4x^3\ –\ 5x^2\ –\ x\ –\ 15$
- 找出第二個多項式是否為第一個多項式的因式。 \( 8 x^{4}+10 x^{3}-5 x^{2}-4 x+1,2 x^{2}+x-1 \)
- 檢查 $3x + 2$ 是否為多項式 $15x^2 + x - 6$ 的因式。
- 檢查多項式($x^{3} \ +\ 3x^{2} \ +\ 3x\ +\ 1$)是否能被($x\ +\ 1$)整除。
- 透過應用除法演算法,檢查第一個多項式是否為第二個多項式的因式:$g(t)\ =\ t^2\ –\ 3;\ f(t)\ =\ 2t^4\ +\ 3t^3\ –\ 2t^2\ –\ 9t\ –\ 12$
- 當 $x^3 - 3x^2 + x + 2$ 被多項式 $g(x)$ 除時,商和餘數分別為 $x - 2$ 和 $-2x + 4$。求 $g(x)$。
- 在以下每個例子中,使用因式定理確定多項式 $g(x)$ 是否為多項式 $f(x)$ 的因式。$f(x) = x^5 + 3x^4 - x^3 - 3x^2 + 5x + 15, g(x) = x + 3$
- 在以下每個例子中,使用因式定理確定多項式 $g(x)$ 是否為多項式 $f(x)$ 的因式。$f(x) = 3x^3 + x^2 - 20x + 12, g(x) = 3x - 2$
- 必須向多項式 $f(x)\ =\ x^4\ +\ 2x^3\ -\ 2x^2\ +\ x\ -\ 1$ 新增什麼,才能使結果多項式能被 $x^2\ +\ 2x\ -\ 3$ 整除?
- 在以下每個例子中,將多項式 $p(x)$ 除以多項式 $g(x)$,並找出商和餘數:(i) $p(x) = x^3 - 3x^2 + 5x -3, g(x) = x^2-2$(ii) $p(x) =x^4 - 3x^2 + 4x + 5, g(x) = x^2 + 1 -x$(iii) $p(x) = x^4 - 5x + 6, g(x) = 2 -x^2$
- 對於什麼值 $k$,多項式 $f(x)\ =\ 3x^4\ -\ 9x^3\ +\ x^2\ +\ 15x\ +\ k$ 能被 $3x^2\ -\ 5$ 整除?
開啟你的 職業生涯
透過完成課程獲得認證
開始學習