什麼是DFA的最小化?
問題
給定一個確定性有限自動機(DFA),嘗試透過去除不可達狀態和去除類似行來簡化DFA。

解決方案
步驟 1
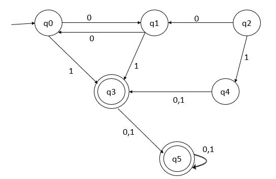
從q0中移除不可達狀態
從初始狀態開始,我們無法到達q2和q4。因此,刪除這兩個狀態,如下所示:

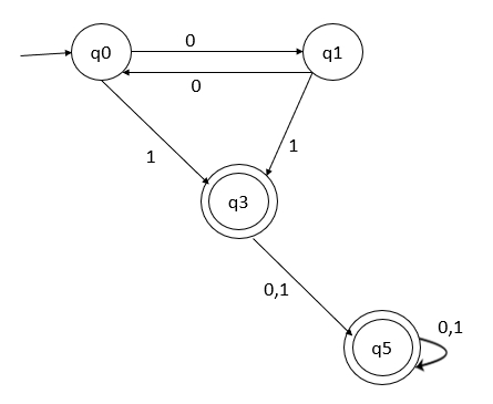
移除不可達狀態後,部分最小化的DFA如下:

步驟 2
下面給出狀態轉換表:
| 狀態 | 0 | 1 |
|---|---|---|
| ->q0 | q1 | q3 |
| q1 | q0 | q3 |
| *q3 | q5 | q5 |
| *q5 | q5 | q5 |
步驟 3
將表格劃分為2個表格,如下所示:
表1從非終結狀態開始。
| 狀態 | 0 | 1 |
|---|---|---|
| ->q0 | q1 | q3 |
| q1 | q0 | q3 |
表2從終結狀態開始。
| 狀態 | 0 | 1 |
|---|---|---|
| *q3 | q5 | q5 |
| *q5 | q5 | q5 |
步驟 4
刪除類似的行。
表1沒有類似的行
表2有類似的行。因此,跳過q5並用q3替換q5
| 狀態 | 0 | 1 |
|---|---|---|
| q3 | q5 | q3 |
步驟 5
合併兩個表格,如下所示:
| 狀態 | 0 | 1 |
|---|---|---|
| ->q0 | q1 | q3 |
| q1 | q0 | q3 |
| *q3 | q3 | q3 |
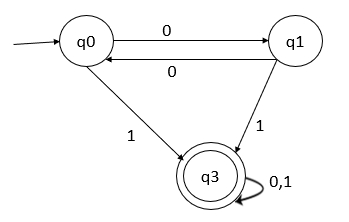
因此,最小化的DFA如下:

廣告
資料結構
網路
關係資料庫管理系統
作業系統
Java
iOS
HTML
CSS
Android
Python
C語言程式設計
C++
C#
MongoDB
MySQL
Javascript
PHP