構建一個字串的DFA,其中從右側數第二個字元為'a'
確定性有限自動機 (DFA) 是一個 5 元組
M=(Q, Σ, δ,q0,F)
其中,
- Q:稱為狀態的有限集。
- Σ:稱為字母表的有限集。
- δ:Q × Σ → Q 是轉移函式。
- q0 ϵ Q 是起始狀態或初始狀態。
- F:最終狀態或接受狀態。
問題
設計一個有限自動機,其中從右側數第二個字元為'a'。
解決方案
給定字母表 {a,b} 上的字串的語言為 -
L={aa,abaa,abbab,aaabab,………}
示例
輸入 - aaba
輸出 - 未接受
因為從右側數第二個字母不是 a
輸入 - aabbab
輸出 - 接受
直接構建 DFA 比較複雜。
因此,首先嚐試設計非確定性有限自動機 (NFA),然後將其轉換為確定性有限自動機 (DFA)。
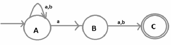
現在構建包含所有字串的語言的 NFA,其中從 RHS 數第 2 個字元為“a”,如下所示 -

這裡,
- A 是初始狀態。
- B 是中間狀態,並且
- C 是最終狀態。
構建 NFA 轉移表。藉助轉移表,可以很容易地從那裡將 DFA 轉移錶轉換為 DFA 轉移圖。
NFA 轉移表如下所示 -

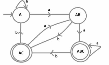
現在將此 NFA 轉移錶轉換為 DFA 轉移表。
我們可以透過在 NFA 的狀態轉移表上使用子集配置來做到這一點。
DFA 轉移表如下所示 -

現在,藉助其轉移表,繪製 DFA 比較容易。
在此 DFA 中,有四個不同的狀態 A、AB、ABC 和 AC,其中 ABC 和 AC 是最終狀態,因為 c 是 NFA 中的最終狀態,無論出現 C 的位置,該狀態都成為最終狀態,而 A 是 DFA 的初始狀態。

廣告
資料結構
網路
關係資料庫管理系統
作業系統
Java
iOS
HTML
CSS
Android
Python
C語言程式設計
C++
C#
MongoDB
MySQL
Javascript
PHP