設計一個DFA,接受字串w,其中第二個字元為零,第四個字元為1。
問題
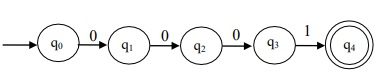
構造一個DFA,該DFA接受一個字串,該字串的第二個字元為0,第四個字元為1,字母表∑={0,1}。
解決方案
輸入 − 00110
輸出 被接受;因為在給定的字串中,第二個字元是’0’,第四個字元是’1’。
輸入 − 11001
輸出 − 字串不被接受,因為第二個字元不是’0’。
DFA設計 步驟如下:
步驟1 -

有效輸入 − 0001
步驟2 -

有效輸入 − 1001
步驟3 -

有效輸入 − 0011, 1011
步驟4 -

有效輸入 − 00010, 10010, 00110, 00011, 10011, 00111, …
步驟5 -

無效輸入 − 0101, 0100, 0010, 1100, 0000, 1000, …
步驟6 -

有效輸入 − 01010, 01000, 11111, 0100000, …
廣告
資料結構
網路
關係資料庫管理系統(RDBMS)
作業系統
Java
iOS
HTML
CSS
Android
Python
C語言程式設計
C++
C#
MongoDB
MySQL
Javascript
PHP