設計一個 DFA 來接受數字中零的個數為 3 的倍數的語言 L
問題
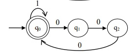
構造一個確定的有限狀態自動機 (DFA) 來接受語言 L,該語言在字母表 ∑=”{0,1} 上 0 的個數為 3 的倍數。
解決方案
If input is: 000 Output is: string is accepted
因為這裡 0 的個數是 3 的倍數。
設計 DFA
為了構建 DFA,請遵循以下提到的步驟 −
步驟 1 -

有效輸入:000、000000、09、012、……
步驟 2 -

有效輸入:1、1000、100000、……
步驟 3 -

有效輸入:10100、11000、101100、……
步驟 4 -

101010、1101010、1101110110、……
無效輸入 − 0,00,10000,01011, …
廣告
資料結構
網路
RDBMS
作業系統
Java
iOS
HTML
CSS
Android
Python
C 程式設計
C++
C#
MongoDB
MySQL
Javascript
PHP