設計一個接受奇數個 0 或偶數個 1 的 DFA 機器
確定性有限自動機 (DFA) 是一個五元組
M=(Q, Σ, δ,q0,F)
其中,
- Q:稱為狀態的有限集。
- Σ:稱為字母表的有限集。
- δ:Q × Σ → Q 是轉移函式。
- q0 ϵ Q 是起始或初始狀態。
- F:最終或接受狀態。
問題
構造一個接受奇數個 0 或偶數個 1 的 DFA 機器。
解決方案
針對字母表 Σ={0,1} 上的兩個條件設計兩個獨立的機器 -
僅接受奇數個 0 的 DFA
僅接受偶數個 1 的 DFA
在字母表 Σ={0,1} 上僅接受奇數個 1 的 DFA
語言 L= {1,10,1110,1011,10101,100101,….}

在字母表 Σ={0,1} 上僅接受偶數個 1 的 DFA
語言 L= {11,101,11110,10111,101101,1001011,….}

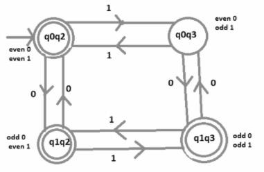
現在合併兩個狀態轉換圖以生成一個接受奇數個 0 或偶數個 1 的機器

廣告
資料結構
網路
關係資料庫管理系統
作業系統
Java
iOS
HTML
CSS
Android
Python
C 程式設計
C++
C#
MongoDB
MySQL
Javascript
PHP