構建任何給定有限自動機的最小DFA。
問題
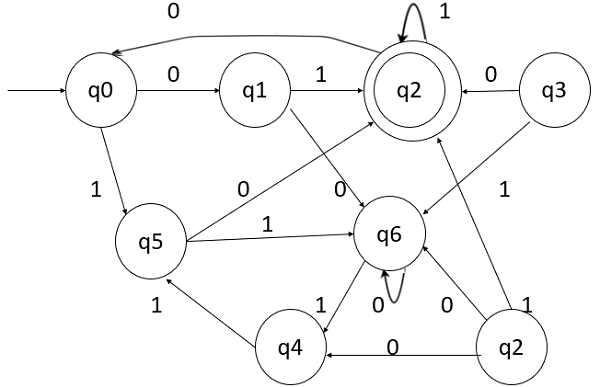
為以下自動機構建一個最小狀態DFA:

解答
我們首先為給定的有限自動機構建一個狀態轉移表:
| 狀態\輸入 | 0 | 1 |
|---|---|---|
| q0 | q1 | q5 |
| q1 | q6 | q2 |
| *q2 | q0 | q2 |
| q3 | q2 | q6 |
| q4 | q7 | q5 |
| q5 | q2 | q6 |
| q6 | q6 | q4 |
| q7 | q6 | q2 |
Q={q0,q1,q2,q3,q4,q5,q6,q7}
Q01={q2} 和 Q02={q0,q1,q2,q3,q4,q5,q6,q7}
S0={{q2} {q0,q1,q2,q3,q4,q5,q6,q7}}
考慮集合 {q0,q1,q2,q3,q4,q5,q6,q7}
{q2} {q0,q1,q3,q5,q6,q7}
{q2} {q0,q4,q6} {q1,q3,q5,q7}
{q2} {q0,q4} {q6} {q1,q3,q5,q7}
{q2}{q0,q4}{q6}{q1,q7}{q3,q5}
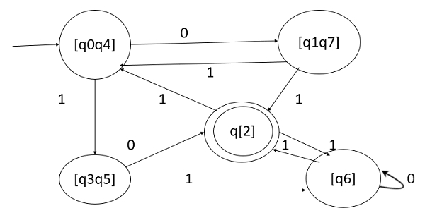
最小化後的狀態如下:
M1=(Q1, Σ, δ1,q01,F1)
Q1= {[q2],[q0,q4],[q6],[q1,q7],[q3,q5]}
qo1= {[q0,q4]}
F1= {[q2]}
狀態轉移表
現在狀態轉移表如下:
| 狀態\輸入 | 0 | 1 |
|---|---|---|
| [q0,q4] | [q1,q7] | [q3,q5] |
| [q6] | [q6] | [q2] |
| [q1,q7] | [q0,q4] | [q2] |
| [q3,q5] | [q2] | [q6] |
| [q2] | [q6] | [q0,q4] |
狀態轉移圖如下:

廣告
資料結構
網路
關係資料庫管理系統 (RDBMS)
作業系統
Java
iOS
HTML
CSS
Android
Python
C語言程式設計
C++
C#
MongoDB
MySQL
Javascript
PHP