構造適用於正則表示式 ((a+b)(a+b))* 的有限狀態自動機。
指定正則表示式 (RE) 的語言如下 −
L={ ε,aa,ab,ba,aaaa,………}

示例
正則表示式為 ((a+b)(a+b))*(a+b)。
構造指定正則表示式的有限自動機。
首先,生成指定正則表示式的語言 −
L={a,d,aaa,bbb,abb,bab,bba,………..}
這是奇數長度字串的語言
有限自動機如下 −

廣告
指定正則表示式 (RE) 的語言如下 −
L={ ε,aa,ab,ba,aaaa,………}

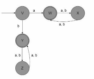
正則表示式為 ((a+b)(a+b))*(a+b)。
構造指定正則表示式的有限自動機。
首先,生成指定正則表示式的語言 −
L={a,d,aaa,bbb,abb,bab,bba,………..}
這是奇數長度字串的語言
有限自動機如下 −
