使用狀態消去法求給定有限自動機的正則表示式
問題
使用狀態消去法為給定的有限自動機生成正則表示式。
解決方案
將確定性有限自動機 (DFA) 轉換為正則表示式 (RE) 有兩種方法。
- Arden 定理方法。
- 狀態消去法。
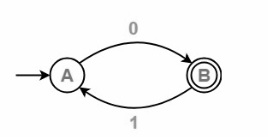
給定的自動機如下所示:

步驟 1
初始狀態為 A,它有一條入邊。
因此,我們必須建立一個新的初始狀態 qi,如下所示:

步驟 2
初始狀態為 B,它有一條入邊。
因此,我們必須建立一個新的最終狀態 qf,如下所示:

步驟 3
現在,嘗試逐個消除所有中間狀態。
首先消除狀態 A
從狀態 qi 到 B 透過 A 有一條路徑。
因此,在消除狀態 A 後,我們可以連線從 qi 到 B 的直接路徑,其成本為。
ε.0=0
使用狀態 A 在狀態 B 上有一個迴圈。
因此,在消除狀態 A 後,我們可以繪製在狀態 B 上具有成本的直接迴圈。
1.0=10
**消除 A 後,我們得到以下結果:**

步驟 4
現在消除狀態 B
從狀態 qi 到 qf 透過狀態 B 有一條路徑。
因此,在消除 B 後,我們可以繪製從 qi 到狀態 qf 的直接路徑,其成本為
0.(10)* ε=0(10)*

最終正則表示式為 = 0(10)*
廣告
資料結構
網路
關係型資料庫管理系統
作業系統
Java
iOS
HTML
CSS
Android
Python
C語言程式設計
C++
C#
MongoDB
MySQL
Javascript
PHP