將多項式 $p(x)$ 除以多項式 $g(x)$,求商和餘數
$p(x) = x^4 - 5x + 6, g(x) = 2 -x^2$
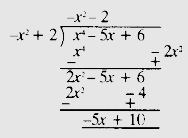
已知
$p(x) = x^4 - 5x + 6, g(x) = 2 -x^2$
要求
我們需要將多項式 $p(x)$ 除以多項式 $g(x)$,並求出商和餘數。
解答
$p(x) = x^4 - 5x + 6$
$g(x) = 2 -x^2$

因此,商為 $-x^2-2$,餘數為 $-5x+10$。
- 相關文章
- 將多項式 $p(x)$ 除以多項式 $g(x)$,求商和餘數,如下所示:(i) $p(x) = x^3 - 3x^2 + 5x -3, g(x) = x^2-2$(ii) $p(x) =x^4 - 3x^2 + 4x + 5, g(x) = x^2 + 1 -x$(iii) $p(x) = x^4 - 5x + 6, g(x) = 2 -x^2$
- 將多項式 $p(x)$ 除以多項式 $g(x)$,求商和餘數,如下所示:$p(x) =x^4 - 3x^2 + 4x + 5, g(x) = x^2 + 1 -x$
- 將多項式 $p(x)$ 除以多項式 $g(x)$,求商和餘數,如下所示:$(p(x)=x^3 - 3x^2 + 5x - 3, g(x) = x^2 - 2)$。
- 將 $x^3 - 3x^2 + x + 2$ 除以多項式 $g(x)$,商為 $x - 2$,餘數為 $-2x + 4$。求 $g(x)$。
- 利用因式定理判斷在下列每種情況下 \( g(x) \) 是否為 \( p(x) \) 的因式:(i) \( p(x)=2 x^3 + x^2 - 2x - 1, g(x) = x + 1 \)(ii) \( p(x) = x^3 + 3x^2 + 3x + 1, g(x) = x + 2 \)(iii) \( p(x) = x^3 - 4x^2 + x + 6, g(x) = x - 3 \)
- 回答並說明理由:如果將多項式 \( p(x) \) 除以多項式 \( g(x) \) 的商為零,那麼 \( p(x) \) 和 \( g(x) \) 的次數之間有什麼關係?
- 求多項式 $P(x) = x^2 - 5x + 6$ 的零點。
- 回答並說明理由:如果將非零多項式 \( p(x) \) 除以多項式 \( g(x) \) 的餘數為零,那麼 \( p(x) \) 和 \( g(x) \) 的次數之間有什麼關係?
- 用除法演算法求將 $f(x)$ 除以 $g(x)$ 時的商 $q(x)$ 和餘數 $r(x)$:$f(x) = x^3 - 6x^2 + 11x - 6, g(x) = x^2 + x + 1$
- 求多項式 \( x^2 + x - p(p+1) \) 的零點。
- 在下列每種情況下,用因式定理判斷多項式 $g(x)$ 是否為多項式 $f(x)$ 的因式:$f(x) = x^3 - 6x^2 + 11x - 6, g(x) = x^2 - 3x + 2$
- 在下列每種情況下,用因式定理判斷多項式 $g(x)$ 是否為多項式 $f(x)$ 的因式:$f(x) = x^5 + 3x^4 - x^3 - 3x^2 + 5x + 15, g(x) = x + 3$
- 用除法演算法求將 $f(x)$ 除以 $g(x)$ 時的商 $q(x)$ 和餘數 $r(x)$:$f(x) = 15x^3 - 20x^2 + 13x - 12, g(x) = x^2 - 2x + 2$
- 在下列每種情況下,用因式定理判斷多項式 $g(x)$ 是否為多項式 $f(x)$ 的因式:$f(x) = x^3 - 6x^2 + 11x - 6; g(x) = x - 3$
- 利用餘數定理,求 $f(x)$ 除以 $g(x)$ 的餘數:$f(x) = 4x^3 - 12x^2 + 11x - 3, g(x) = x + \frac{1}{2}$。