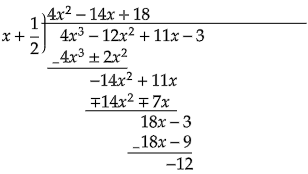
利用餘數定理,求當 $f( x)$ 被 $g( x)$ 除時的餘數:$f( x)=4 x^{3}-12 x^{2}+11 x-3,\ g( x)=x+\frac{1}{2}$。
已知:$f( x)=4 x^{3}-12 x^{2}+11 x-3$ 和 $g( x)=x+\frac{1}{2}$。
要求:求當 $f( x)$ 被 $g( x)$ 除時的餘數。
解答
如題所述,$f( x)=4 x^{3}-12 x^{2}+11 x-3$ 和 $g( x)=x+\frac{1}{2}$。
當 $f( x)$ 被 $g( x)$ 除時

因此,當 $f( x)$ 被 $g( x)$ 除時,餘數為 $-12$。
- 相關文章
- 利用餘數定理,求當 \( f(x) \) 被 \( g(x) \) 除時的餘數,其中 $f(x)=x^{2}-5 x+7, g(x)=x+3$。
- 利用餘數定理,求 $x^3+ x^2 + x + 1$ 被 $x - \frac{1}{2}$ 除的餘數。
- 利用餘數定理,求當:$f(x)=x^{2}+2ax+3a^{2},\ g( x)=x+a$ 時,的餘數。
- 在以下每種情況下,利用餘數定理,求當 $f(x)$ 被 $g(x)$ 除時的餘數,並透過實際除法驗證結果。$f(x) = x^3 + 4x^2 - 3x + 10, g(x) = x + 4$
- 求 $x^3+x^2-x+1$ 被 $x+2$ 除的餘數。
- 應用除法演算法,求當 $f(x)$ 被 $g(x)$ 除時的商 $q(x)$ 和餘數 $r(x)$,其中:$f(x)\ =\ x^3\ –\ 6x^2\ +\ 11x\ –\ 6,\ g(x)\ =\ x^2\ +\ x\ +\ 1$
- 求 \( x^{3}+3 x^{2}+3 x+1 \) 被(i) \( x+1 \)(ii) \( x-\frac{1}{2} \)(iii) \( x \)(iv) \( x+\pi \)(v) \( 5+2 x \) 除的餘數
- 用長除法求 $x^3 + 3 x ^2 + 3 x + 1$ 被 'x' 除的餘數。
- 應用除法演算法,求當 $f(x)$ 被 $g(x)$ 除時的商 $q(x)$ 和餘數 $r(x)$,其中:$f(x)\ =\ 15x^3\ –\ 20x^2\ +\ 13x\ –\ 12,\ g(x)\ =\ x^2\ –\ 2x\ +\ 2$
- 如果 \( f(x)=x^{2} \) 和 \( g(x)=x^{3}, \) 那麼 \( \frac{f(b)-f(a)}{g(b)-g(a)}= \)
- 應用除法演算法,求當 $f(x)$ 被 $g(x)$ 除時的商 $q(x)$ 和餘數 $r(x)$,其中:$f(x)\ =\ 4x^3\ +\ 8x^2\ +\ 8x\ +\ 7,\ g(x)\ =\ 2x^2\ –\ x\ +\ 1$
- 應用除法演算法,求當 $f(x)$ 被 $g(x)$ 除時的商 $q(x)$ 和餘數 $r(x)$,其中:$f(x)\ =\ 10x^4\ +\ 17x^3\ –\ 62x^2\ +\ 30x\ –\ 3,\ g(x)\ =\ 2x^2\ +\ 7x\ +\ 1$
- 利用因式定理確定 \( g(x) \) 是否為 \( p(x) \) 的因式,在以下每種情況下:(i) \( p(x)=2 x^{3}+x^{2}-2 x-1, g(x)=x+1 \)(ii) \( p(x)=x^{3}+3 x^{2}+3 x+1, g(x)=x+2 \)(iii) \( p(x)=x^{3}-4 x^{2}+x+6, g(x)=x-3 \)
- 求 \( x^{3}-a x^{2}+6 x-a \) 被 \( x-a \) 除的餘數。
- 求 $x^3+ 3x^2 + 3x + 1$ 被 \( x-\frac{1}{2} \) 除的餘數。
開啟你的 職業生涯
透過完成課程獲得認證
開始學習