對下列每一題,將多項式 $p(x)$ 除以多項式 $g(x)$,並求出商和餘數
$p(x) =x^4 - 3x^2 + 4x + 5, g(x) = x^2 + 1 -x$
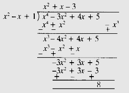
已知
$p(x) =x^4 - 3x^2 + 4x + 5, g(x) = x^2 + 1 -x$
任務
我們必須將多項式 $p(x)$ 除以多項式 $g(x)$ 並求出商和餘數。
解答
$p(x) = x^4 - 3x^2 + 4x + 5$
$g(x) = x^2+1 -x$

因此,商為 $x^2+x-3$,餘數為 $8$。
- 相關文章
- 對下列每一題,將多項式 $p(x)$ 除以多項式 $g(x)$,並求出商和餘數:(i) $p(x) = x^3 - 3x^2 + 5x -3, g(x) = x^2-2$(ii) $p(x) =x^4 - 3x^2 + 4x + 5, g(x) = x^2 + 1 -x$(iii) $p(x) = x^4 - 5x + 6, g(x) = 2 -x^2$
- 對下列每一題,將多項式 $p(x)$ 除以多項式 $g(x)$,並求出商和餘數:$p(x) = x^4 - 5x + 6, g(x) = 2 -x^2$
- 將多項式 $p(x)$ 除以多項式 $g(x)$,並求出下列每一題的商和餘數:$(p(x)=x^3-3x^2+5x-3,g(x)=x^2-2)$。
- 將 $x^3 - 3x^2 + x + 2$ 除以多項式 $g(x)$,商為 $x - 2$,餘數為 $-2x + 4$。求 $g(x)$。
- 使用因式定理確定在下列每種情況下 \( g(x) \) 是否為 \( p(x) \) 的因式:(i) \( p(x)=2 x^3+x^2-2 x-1, g(x)=x+1 \)(ii) \( p(x)=x^3+3 x^2+3 x+1, g(x)=x+2 \)(iii) \( p(x)=x^3-4 x^2+x+6, g(x)=x-3 \)
- 回答以下問題並說明理由:如果將多項式 \( p(x) \) 除以多項式 \( g(x) \) 時,商為零,那麼 \( p(x) \) 和 \( g(x) \) 的次數之間有什麼關係?
- 求多項式 \( x^2+x-p(p+1) \) 的零點。
- 在下列每一題中,使用餘數定理,求 $f(x)$ 除以 $g(x)$ 的餘數,並透過實際除法驗證結果。$f(x) = x^3 + 4x^2 - 3x + 10, g(x) = x + 4$
- 透過應用除法演算法,檢查第一個多項式是否是第二個多項式的因式:$g(x)\ =\ x^3\ –\ 3x\ +\ 1;\ f(x)\ =\ x^5\ –\ 4x^3\ +\ x^2\ +\ 3x\ +\ 1$
- 在下列每一題中,使用因式定理來判斷多項式 $g(x)$ 是否為多項式 $f(x)$ 的因式。$f(x) = x^5 + 3x^4 - x^3 - 3x^2 + 5x + 15, g(x) = x + 3$
- 應用除法演算法,求將 $f(x)$ 除以 $g(x)$ 時的商 $q(x)$ 和餘數 $r(x)$:$f(x)\ =\ 4x^3\ +\ 8x^2\ +\ 8x\ +\ 7,\ g(x)\ =\ 2x^2\ –\ x\ +\ 1$
- 回答以下問題並說明理由:如果將非零多項式 \( p(x) \) 除以多項式 \( g(x) \) 時,餘數為零,那麼 \( p(x) \) 和 \( g(x) \) 的次數之間有什麼關係?
- 應用除法演算法,求將 $f(x)$ 除以 $g(x)$ 時的商 $q(x)$ 和餘數 $r(x)$:$f(x)\ =\ x^3\ –\ 6x^2\ +\ 11x\ –\ 6,\ g(x)\ =\ x^2\ +\ x\ +\ 1$
- 驗證下列哪些是對應多項式的零點。(i) \( p(x)=3 x+1, x=-\frac{1}{3} \)(ii) \( p(x)=5 x-\pi, x=\frac{4}{5} \)(iii) \( p(x)=x^2-1, x=1,-1 \)(iv) \( p(x)=(x+1)(x-2), x=-1,2 \)(v) \( p(x)=x^2, x=0 \)(vi) \( p(x)=l x+m, x=-\frac{m}{l} \)(vii) \( p(x)=3 x^2-1, x=-\frac{1}{\sqrt{3}}, \frac{2}{\sqrt{3}} \)(viii) \( p(x)=2 x+1, x=\frac{1}{2} \)
- 在下列每種情況下,求多項式的零點:(i) \( p(x)=x+5 \)(ii) \( p(x)=x-5 \)(iii) \( p(x)=2 x+5 \)(iv) \( p(x)=3 x-2 \)(v) \( p(x)=3 x \)(vi) \( p(x)=a x, a ≠ 0 \)(vii) \( p(x)=c x+d, c ≠ 0, c, d \) 為實數。