可以在等邊三角形內切入的面積最大的正方形?
在這裡,我們將瞭解能在等邊三角形內切入的面積最大的正方形。三角形的一邊是“a”,正方形的一邊是 x。

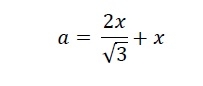
三角形的一邊“a”是 −

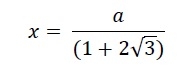
所以 x 是 −

示例
#include <iostream>
#include <cmath>
using namespace std;
float areaSquare(float a) { //a is side of triangle
if (a < 0 ) //if a is negative, then this is invalid
return -1;
float area = a / (1 + 2/sqrt(3));
return area;
}
int main() {
float a = 7;
cout << "Area of Rectangle: " << areaSquare(a);
}輸出
Area of Rectangle: 3.24871
廣告
資料結構
網路
關係型資料庫管理系統
作業系統
Java
iOS
HTML
CSS
Android
Python
C 程式設計
C++
C#
MongoDB
MySQL
Javascript
PHP