內接於正方形的羅洛三角形?
在此,我們將看到內接於正方形的羅洛三角形的最大面積,該正方形內接於等邊三角形。假定'a'是三角形的邊。正方形的邊為x,羅洛三角形的高為h。

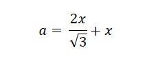
三角形的邊為−

因此x的值為−
𝑥 = 0.464𝑎
羅洛三角形的高與x相同。因此x=h。所以羅洛三角形的面積為−

示例
#include <iostream>
#include <cmath>
using namespace std;
float areaReuleaux(float a) { //side of triangle is a
if (a < 0) //if a is negative it is invalid
return -1;
float area = ((3.1415 - sqrt(3)) * (0.464*a) * (0.464*a))/2;
return area;
}
int main() {
float side = 5;
cout << "Area of Reuleaux Triangle: " << areaReuleaux(side);
}輸出
Area of Reuleaux Triangle: 3.79311
廣告
資料結構
網路
RDBMS
作業系統
Java
iOS
HTML
CSS
Android
Python
C語言
C++
C#
MongoDB
MySQL
Javascript
PHP