正方形內最大的勒洛三角形?
這裡我們將看到內接於正方形內的最大勒洛三角形面積。正方形一邊長度為'a'。而勒洛三角形的高度為 h。

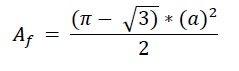
勒洛三角形的高度與 a 相同。因此 a = h。因此勒洛三角形面積為 -

示例
#include <iostream>
#include <cmath>
using namespace std;
float areaReuleaux(float a) { //side of square is a
if (a < 0) //if a is negative it is invalid
return -1;
float area = ((3.1415 - sqrt(3)) * (a) * (a))/2;
return area;
}
int main() {
float side = 8;
cout << "Area of Reuleaux Triangle: " << areaReuleaux(side);
}輸出
Area of Reuleaux Triangle: 45.1024
廣告
資料結構
網路
RDBMS
作業系統
Java
iOS
HTML
CSS
Android
Python
C 程式設計
C++
C#
MongoDB
MySQL
Javascript
PHP