內切於半圓內接正方形中的最大羅洛三角形?
這裡我們將介紹內切於半圓內接正方形的最大羅洛三角形的面積。設半圓的半徑為 R,正方形的邊長為 a,羅洛三角形的高為 h。

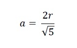
我們知道內切於半圓的正方形的邊長為 -

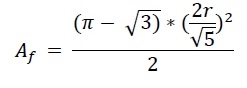
羅洛三角形的高與 a 相同。所以 a = h。所以羅洛三角形的面積為 -

示例
#include <iostream>
#include <cmath>
using namespace std;
float areaReuleaux(float r) { //radius of the semicircle is r
if (r < 0) //if r is negative it is invalid
return -1;
float area = ((3.1415 - sqrt(3)) * (2*r/(sqrt(5))) * (2*r/(sqrt(5))))/2;
return area;
}
int main() {
float rad = 8;
cout << "Area of Reuleaux Triangle: " << areaReuleaux(rad);
}輸出
Area of Reuleaux Triangle: 36.0819
廣告
資料結構
網路
RDBMS
作業系統
Java
iOS
HTML
CSS
Android
Python
C 程式設計
C++
C#
MongoDB
MySQL
Javascript
PHP