醛的製備過程
引言
醛的製備過程在有機化學中非常重要,它是透過碳和氧之間的二價鍵形成的。羰基化合物有兩種型別,一種是醛,另一種是酮。羰基是指碳和氫連線的基團,類似地,其中碳原子與兩個碳原子連線的化合物被稱為酮。醛基定義為-CHO,酮基定義為CO。
什麼是醛?

圖1 - 醛
醛是羰基與碳和氫相連的化合物;而酮是羰基與兩個碳原子相連的化合物。醛中含有烷基(R)和氫,屬於羰基化合物類別。醛通常由羰基製備。在羰基中,一端有一個烷基,另一端有一個氫。它們也可能在其分子末端連線一些複雜的基團,尤其是在連線到其他基團時。
醛的性質和特徵
醛的性質多種多樣,取決於分子的其餘部分。最小的醛在水中溶解度最高。乙醛和甲醛完全溶於水。揮發性醛的另一個特徵是具有強烈刺激性氣味。通常使用光譜法來識別醛。醛通常具有難聞的氣味,但這並非適用於所有醛。除此之外,組分的溶解度和沸點也密切相關,尤其是在實驗室製備時。
醛的製備
根據需要,製備醛(脂肪族、芳香族和環狀)的方法有多種。
有用的基團轉化 - 在有用的基團轉化中,任何有用的基團都可以轉化為醛。醛可以透過醇的氧化或酸亞硝酸鹽、氯化物或酯的還原來製備。
碳鍵 - 它具有顯示碳鍵解離的特性。醛也可以透過臭氧化合適的烯烴來製備。
醛的製備過程
在實驗室中,醛的製備方法多種多樣。但是,製備醛的最佳方法包括伯醇的氧化。要成功地進行伯醇的氧化,需要使用溫和的氧化劑,例如DMP、PCC和Swern試劑。下面列出了一些重要的過程。
由醇氧化製備
醛和酮可以透過伯醇和仲醇的氧化來製備。$\mathrm{KMnO_{4}\:,\:CrO_{3}\:,\:and\:K_{2}Cr_{2}O_{7}}$ 是氧化劑,有助於伯醇和仲醇的氧化。伯醇和仲醇的常見化學反應是
由烴製備
醛可以透過烯烴的臭氧化反應製備。在臭氧化反應中,烯烴與臭氧分子反應。結果是形成臭氧化物。之後,形成的臭氧化物與鋅粉和水反應;結果轉化為醛或酮。這取決於所使用的烴的型別。

圖2 - 臭氧化反應生成酮或醛
RedAndr, 臭氧化羰基氧化物形成, CC BY-SA 4.0
由醯氯製備

圖3 - Rosenmund反應
Rosenmund反應定義為一種有機反應,其中醯氯在鈀的存在下還原成醛。反應中也使用催化劑毒物硫酸鋇。
由腈和酯製備

圖4 - Stephen反應
醛也可以透過Stephen反應製備。其定義是:首先,腈、氯化亞錫和鹽酸生成亞胺化合物。然後,亞胺水解生成醛。
醇的脫氫反應
氫的脫除意味著脫氫。醇的脫氫反應在工業上被廣泛使用。在這個過程中,伯醇分子透過重金屬催化劑(如銅)。為了將揮發性醇轉化為醛,主要使用脫氫過程。乙醇和異丙醇在573K溫度下以Cu為催化劑的反應分別生成丙酮和乙醛,這是醇脫氫反應的一個例子。

圖5 - 伯醇的脫氫反應
MegaByte07, 丁醇的脫水反應, CC BY-SA 3.0
由甲苯氧化製備
甲苯被強氧化劑氧化成苯甲酸。透過使用適當的試劑將甲基轉化為不能進一步氧化的中間體,可以使氧化在醛的形成階段終止。
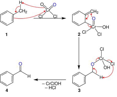
使用鉻醯氯 $\mathrm{CrO_{2}Cl_{2}}$
甲苯和鉻醯氯之間的反應生成鉻絡合物,該絡合物進一步水解生成苯甲醛。該反應也稱為Etard反應。

圖6 - Etard反應
Kchm123, Etard反應 RM V2, CC BY-SA 4.0
由氧化鉻 (CrO)
甲苯或其他甲苯在乙酸酐溶劑中與鉻酸反應生成苯亞甲基二乙酸酯。然後,苯亞甲基二乙酸酯水解生成苯甲醛。
結論
醛在有機化學中非常重要。醛在各種製造工廠中有很多用途。在實驗室中,我們可以使用各種試劑製備醛。醛具有多種多樣的特性和性質。像鉻醯氯、氧化鉻和甲苯這樣的有機成分都高度參與醛的製備。藉助適當的實驗室方法,這些成分可以很容易地在現實中製備。
常見問題
1. 醛與羰基有何關係?
醛是羰基中含有碳和氫的化合物;而酮是羰基中含有兩個碳原子的化合物。醛中存在的烷基(R)和氫(H)屬於羰基化合物類別。
2. 什麼是脫氫?
從任何化合物中分離氫稱為脫氫。此過程通常用於從現實生活中常見的化合物中去除有機化合物中的氫原子。
3. 什麼是氧化劑?
氧化劑基本上是增加任何化學反應速度的化學分子。一些常見的氧化劑包括氧氣、臭氧、過氧化氫和氟。
4. 伯醇的一些常見例子是什麼?
伯醇的一些常見例子是丙醇和乙醇。除此之外,甲醇和丁醇也可以稱為伯醇。
資料結構
網路
關係資料庫管理系統 (RDBMS)
作業系統
Java
iOS
HTML
CSS
Android
Python
C語言程式設計
C++
C#
MongoDB
MySQL
Javascript
PHP