C++二叉樹的最小深度
假設我們有一個二叉樹;我們需要找到該樹的最小深度。眾所周知,最小深度是從根節點到最近葉節點的最短路徑上的節點數。
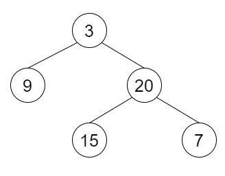
因此,如果輸入如下所示:

則輸出為2
為了解決這個問題,我們將遵循以下步驟:
定義一個包含樹節點的陣列aa
將根節點插入aa的末尾
定義另一個包含樹節點的陣列ak
level := 0
如果根節點為空,則:
返回0
當aa的大小不等於0時,執行:
清空陣列ak
(level加1)
對於aa中的所有節點a:
如果(a的左節點為空)並且(a的右節點為空),則:
返回level
退出迴圈
如果a的左節點不為空,則:
將a的左節點插入ak的末尾
如果a的右節點不為空,則:
將a的右節點插入ak的末尾
aa := ak
返回0
示例
讓我們來看下面的實現,以便更好地理解:
#include <bits/stdc++.h>
using namespace std;
class TreeNode{
public:
int val;
TreeNode *left, *right;
TreeNode(int data){
val = data;
left = NULL;
right = NULL;
}
};
void insert(TreeNode **root, int val){
queue<TreeNode*> q;
q.push(*root);
while(q.size()){
TreeNode *temp = q.front();
q.pop();
if(!temp->left){
if(val != NULL)
temp->left = new TreeNode(val);
else
temp->left = new TreeNode(0);
return;
}
else{
q.push(temp->left);
}
if(!temp->right){
if(val != NULL)
temp->right = new TreeNode(val);
else
temp->right = new TreeNode(0);
return;
}
else{
q.push(temp->right);
}
}
}
TreeNode *make_tree(vector<int> v){
TreeNode *root = new TreeNode(v[0]);
for(int i = 1; i<v.size(); i++){
insert(&root, v[i]);
}
return root;
}
class Solution {
public:
int minDepth(TreeNode* root) {
vector<TreeNode*> aa;
aa.push_back(root);
vector<TreeNode*> ak;
int level = 0;
if (root == NULL || root->val == 0) {
return 0;
}
while (aa.size() != 0) {
ak.clear();
level++;
for (TreeNode* a : aa) {
if ((a->left == NULL || a->left->val == 0)&& (a->right == NULL || a->right->val == 0)) {
return level;
break;
}
if (a->left != NULL) {
ak.push_back(a->left);
}
if (a->right != NULL) {
ak.push_back(a->right);
}
}
aa = ak;
}
return 0;
}
};
main(){
Solution ob;
vector<int&g; v = {3,9,20,NULL,NULL,15,7};
TreeNode *root = make_tree(v);
cout << (ob.minDepth(root));
}輸入
{3,9,20,NULL,NULL,15,7}輸出
2
廣告
資料結構
網路
關係型資料庫管理系統 (RDBMS)
作業系統
Java
iOS
HTML
CSS
Android
Python
C語言程式設計
C++
C#
MongoDB
MySQL
Javascript
PHP