內切於內切於半圓的矩形的圓的面積是多少?
我們假設給定了一個半圓。半徑是 R。一個長為 l 寬為 b 的矩形內切該半圓。現在,一個半徑為 r 的圓內切於矩形。我們必須求出內圓的面積。

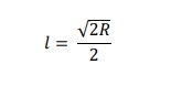
我們知道,可以內切於半圓的最大矩形具有長度 l 和寬度 b,則 l 和 b 的方程如下−


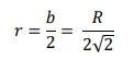
現在,可以內切於矩形的最大圓具有半徑 r,如下−


示例
#include <iostream>
#include <cmath>
using namespace std;
float innerCircleArea(float R){
return 3.1415 * pow(R / (2 * sqrt(2)), 2);
}
int main() {
float rad = 12.0f;
cout << "Area: " << innerCircleArea(rad);
}輸出
Area: 56.547
廣告
資料結構
網路
RDBMS
作業系統
Java
iOS
HTML
CSS
Android
Python
C 程式設計
C++
C#
MongoDB
MySQL
Javascript
PHP