編寫 C 程式,計算內切於一個正六邊形內切圓的正方形的面積?
這裡,我們將討論如何計算一個正方形的面積,該正方形內切於一個圓中,並且該圓又內切於一個正六邊形中。正方形的邊長為“a”。圓的半徑為“r”,正六邊形的邊長為“A”。圖形如下所示。

我們知道,內切於正六邊形的圓的半徑為 ——

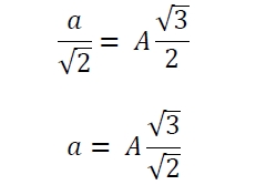
另外,圓的半徑等於正方形對角線的一半。所以 ——

然後我們可以說 ——

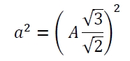
然後面積為 ——

例項
#include <iostream>
#include <cmath>
using namespace std;
float area(float A) { //A is the side of the hexagon
if (A < 0) //if the value is negative it is invalid
return -1;
float area = (A*A) * float(3.0/2.0);
return area;
}
int main() {
float side = 5;
cout << "Area is: " << area(side);
}輸出
Area is: 37.5
廣告
資料結構
網路
關係型資料庫管理系統
作業系統
Java
iOS
HTML
CSS
Android
Python
C 程式設計
C++
C#
MongoDB
MySQL
Javascript
PHP