數軸上的小數位數:百分位



介紹

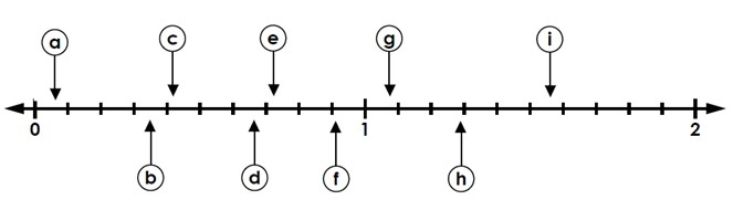
考慮以下數軸

Identify Decimal Number

它被分成兩個主要部分0-1和1-2。每個部分進一步細分成10個部分,即十分位。十分位之間的數字是百分位。數軸上顯示的字母代表百分位。

考慮數軸上字母b表示的小數0.35。它是三十五百分之一,小於1。因此它位於0和1之間;更準確地說,它位於三十百分之一(十分之三)和四十百分之一(十分之四)之間。

因此,我們在數軸上將小數0.35或三十五百分之一讀作位於0.30和0.40或0.3和0.4之間的一個點。

同樣,a表示0.06;c是0.42;d是0.67;e是0.72;f是0.91;g、hi表示大於1的值。g是1.08;h是1.29;i是1.57。

例題1

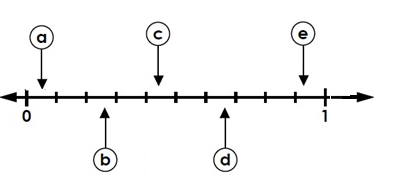
確定以下數軸上字母表示的小數。

Identify Decimal Number

解答

步驟1

a表示位於0和0.1之間的值。它表示6百分之一或0.06。

步驟2

同樣,b是0.27;c是0.43;d是0.67;e是0.92。

例題2

確定以下數軸上字母表示的小數。

Identify Decimal Number

解答

步驟1

g表示位於1.1和1.2之間的值。它表示12百分之一或1.12。

因此g表示1.12;

步驟2

同樣,h是1.34;i是1.58;j是1.88。

廣告
© . All rights reserved.