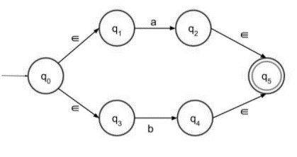
構造正則語言L = {ab,ba}的 ∈-NFA
非確定有限自動機 (NFA) 中的 ε 轉移用於在不使用來自輸入集 Σ 的任何符號的情況下從一個狀態移動到另一個狀態。
ε-NFA 用五元組表示法定義。
{Q, q0, Σ, δ, F}其中:
δ − Q × (Σ∪ε)→2Q
Q − 有限狀態集
Σ − 有限輸入符號集
q0 − 初始狀態
F − 終結狀態
δ − 轉移函式
NFA 和帶有 ε 的 NFA 幾乎相同;唯一的區別在於它們的轉移函式。
NFA 轉移函式如下:
δ − Q X Σ→ 2Q
帶有 ε 轉移函式的 NFA 如下:
δ: Q × (Σ∪ε)→2Q
為給定的語言 L = {ab, ba} 構造帶有 ε 的 NFA。
按照以下步驟操作:
步驟 1 − (a+b) 的帶有 ε 的 NFA 如下:

它接受 a 或 b 作為輸入,兩者都進入終結狀態。
步驟 2 − ab 的帶有 ε 的 NFA 如下:

用 ε 連線 a 和 b,並且 a 必須後跟 b,然後才能到達終結狀態。
步驟 3 − ba 的帶有 ε 的 NFA 如下:

用 ε 連線 b 和 a,並且 b 必須後跟 a,然後才能到達終結狀態。
步驟 4 − 現在是語言 L={ab, ba} 的最終帶有 ε 的 NFA。
該語言由字串 ab 或 ba 組成,可以寫成 (ab + ba)。因此,最終的 ε-NFA 有兩條路徑,一條路徑用於 ab,另一條路徑用於 ba,兩者都進入終結狀態。
在上述步驟中,我們分別為 ab 和 ba 構造了結構。現在,將這兩個結構新增到一起以獲得我們的結果。

廣告
資料結構
網路
關係資料庫管理系統(RDBMS)
作業系統
Java
iOS
HTML
CSS
Android
Python
C語言程式設計
C++
C#
MongoDB
MySQL
Javascript
PHP