構建一個用於語言 L = {wwr | w ∈ {0, 1}} 的圖靈機。
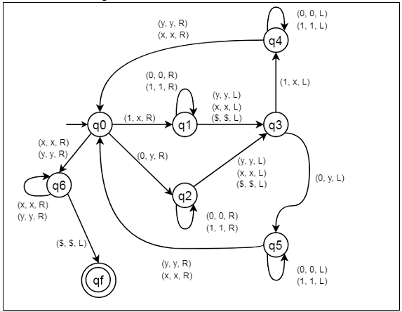
在這裡,我們將瞭解如何為語言 L = {WWr |W 屬於 {0, 1}} 構建圖靈機。所以這表示一種語言,我們只使用兩個字元 0 和 1。w 是一個字串,wr 是它的逆序。所以如果 w = 10110,那麼 wr 將是 01101。因此,圖靈機將接受字串 z = 1011001101。
為了解決這個問題,我們將使用這種方法。首先檢查第一個符號,如果它是 0,則使用 y 替換它,如果它是 1,則使用 x 替換它。然後轉到字串的末尾。所以最後一個符號與第一個符號相同。我們也根據它用 x 或 y 替換它。之後,再次回到從開始替換的符號旁邊的位置,並重覆上述相同過程。我們必須記住,由於 wr 是 w 的逆序,因此兩者將具有相同數量的符號。每次替換字串開頭處的第 n 個符號時,都替換結尾處的相應第 n 個符號。
狀態轉換圖

廣告
資料結構
網路
關係資料庫管理系統
作業系統
Java
iOS
HTML
CSS
Android
Python
C 程式設計
C++
C#
MongoDB
MySQL
Javascript
PHP