構造正則語言 L = (0+1)*(00+ 11) 的 ∈-NFA
非確定有限自動機 (NFA) 中的 ε 轉移用於在沒有來自輸入集 Σ 的任何符號的情況下從一個狀態移動到另一個狀態。
ε-NFA 定義為五元組
{Q, q0, Σ, δ, F}其中,
δ − Q × (Σ∪ε)→2Q
Q − 有限狀態集
Σ − 有限輸入符號集
q0 − 初始狀態
F − 終結狀態
δ − 轉移函式
沒有 ε 轉移的 NFA
NFA 以 5 元組表示法定義
{Q, q0, Σ, δ, F}其中,
δ − Q X Σ→ 2Q
Q − 有限狀態集
Σ, − 有限輸入符號集
q0 − 初始狀態
F − 終結狀態
δ − 轉移函式
NFA 和帶有 epsilon 的 NFA 幾乎相同;唯一的區別在於它們的轉移函式。
讓我們考慮給定的語言 L = 0(0+1)*1
構造 ε-NFA 的規則如下:
步驟 1 − 下面給出了 0+ 的帶 epsilon 的 NFA:

步驟 2 − 下面給出了 0* 的帶 epsilon 的 NFA:

步驟 3 − 下面給出了 (0+1) 的帶 epsilon 的 NFA:

上面的狀態轉換圖接受 0 或 1 作為輸入。這兩條路徑都通向終結狀態。
步驟 4 − 下面給出了 01 的帶 epsilon 的 NFA:

對於連線,0 必須後跟 1。
步驟 5 −
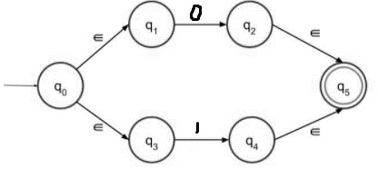
L = (0+1)*(00 + 11) 的 ε-NFA
L = (0+1)*(00 + 11) 分為兩部分:(0+1)* 和 (00+11)。
首先構造第一部分,然後構造第二部分,最後連線這兩部分以獲得結果。
第一部分 − (0+1)*
藉助步驟 3,我們可以輕鬆地構造 (0+1)*,如下所示:

第二部分 − (00+11)
第二部分可以藉助步驟 4 輕鬆繪製。
在步驟 4 中,考慮 1 和 0 都是 00 或 11。這兩個字串由 + 符號連線。

最終帶有 epsilon 移動的 NFA 如下:
連線第一部分和第二部分,

廣告
資料結構
網路
關係型資料庫管理系統
作業系統
Java
iOS
HTML
CSS
Android
Python
C 程式設計
C++
C#
MongoDB
MySQL
Javascript
PHP