構造帶 Epsilon 轉換的 NFA,正則表示式為 a+ba*。
正則表示式 R= a+ba* 分為 r1 和 r2
r1= a 和 r2= ba*
我們來繪製 r1 的非確定有限狀態自動機 (NFA),如下所示 -

現在,我們從 r2 = ba * 開始
將 r2 分為 r3 和 r4,其中 r3=b 和 r4=a*
r3 的 NFA 如下 -

r4 的 NFA 如下 -

q5 透過 epsilon 轉換到 q6 和 q8,q6 透過 'a' 轉換到 q7,而 q7 透過 epsilon 轉換到 q6 和 q7。
r2= r3.r4
現在,連線 r3 和 r4,如下所示 -

q3 輸入 'b' 後進入 q4,q4 透過 epsilon 轉換到 q5,q5 透過 epsilon 轉換到 q6,q6 輸入 'a' 後進入 q7,而 q7 透過 epsilon 轉換到 q6 和 q8。
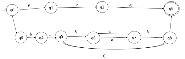
現在,組合所有表示式,即 R=r1+r2 =a+ba*,如下所示 -

上圖為給定正則表示式 a+ba* 的最終 NFA 帶轉換。
廣告
Data Structure
Networking
RDBMS
Operating System
Java
iOS
HTML
CSS
Android
Python
C Programming
C++
C#
MongoDB
MySQL
Javascript
PHP