在DBMS中構建銀行系統的ER圖?
問題
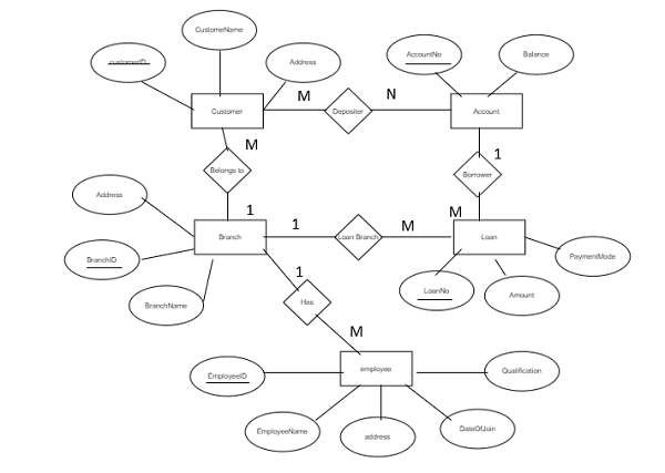
考慮以下約束,繪製銀行資料庫應用程式的ER模型:
一家銀行擁有許多實體。
每個客戶擁有多個賬戶。
多個客戶屬於同一個支行。
單個客戶可以借多筆貸款。
一個支行有多名員工。
解決方案
按照以下步驟繪製銀行資料庫應用程式的ER模型:
步驟1 - 識別實體集
實體集在給定的業務場景中有多個例項。
根據給定的約束,實體集如下:
客戶
賬戶
賬戶
貸款
貸款
步驟2 - 識別給定實體的屬性
客戶 - 相關屬性包括客戶姓名、客戶ID、地址。
賬戶 - 相關屬性包括賬戶號、餘額。
支行 - 相關屬性包括支行ID、支行名稱、地址。
貸款 - 相關屬性包括貸款號、支付方式、貸款日期和金額。
員工 - 相關屬性包括員工ID、員工姓名、入職日期、經驗、資格。
步驟3 - 識別主鍵屬性
CustomerID是客戶的主鍵屬性。
AccountNo是賬戶實體的主鍵屬性。
BranchID是支行實體的主鍵屬性。
LoanNo是貸款實體的主鍵屬性。
EmpID是員工實體的主鍵屬性。
步驟4 - 識別實體集之間的關係
一個客戶可以註冊多個賬戶,一個賬戶可以屬於多個客戶。因此,這種關係是多對多關係。

許多客戶屬於一個支行,而一個支行屬於許多客戶。因此,客戶和支行之間的關係是多對一關係。

一個客戶可以借多筆貸款,同樣多筆貸款可以由一個客戶借出,因此客戶和貸款之間的關係是一對多關係。

一個支行有多名員工,同樣多名員工在一個支行工作。

步驟5 - 完成ER圖
完整的ER圖如下:

廣告
資料結構
網路
關係型資料庫管理系統 (RDBMS)
作業系統
Java
iOS
HTML
CSS
Android
Python
C語言程式設計
C++
C#
MongoDB
MySQL
Javascript
PHP