圓內十邊形面積的 C 語言程式?
這裡,我們將瞭解如何計算圓內十邊形的面積。半徑已給出。十邊形的邊長為“a”。

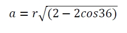
我們知道十邊形的邊長如下 −

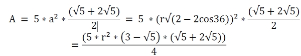
因此面積為 −

示例
#include <iostream>
#include <cmath>
using namespace std;
float area(float r) {
if (r < 0) //if r is negative it is invalid
return -1;
float area = (5 * pow(r, 2) * (3 - sqrt(5)) * (sqrt(5) + (2 * sqrt(5)))) / 4;
return area;
}
int main() {
float r = 8;
cout << "Area : " << area(r);
}輸出
Area : 409.969
廣告
資料結構
網路
RDBMS
作業系統
Java
iOS
HTML
CSS
Android
Python
C 語言程式設計
C++
C#
MongoDB
MySQL
Javascript
PHP