C 語言中內接菱形的圓的面積?
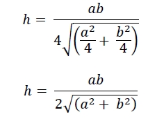
本文我們將瞭解到內接菱形的圓的面積。菱形的對角線為“a”和“b”。圓的半徑為 h。

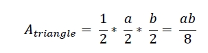
兩條對角線構成四個相等的三角形。每個三角形均為直角三角形,因此其面積為:

菱形任意一邊均為斜邊:

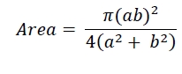
因此圓的面積為:

示例
#include <iostream>
#include <cmath>
using namespace std;
float area(float a, float b) {
if (a < 0 || b < 0) //if the values are negative it is invalid
return -1;
float area = (3.1415 * (a*b * a*b))/(4 * (a*a + b*b));
return area;
}
int main() {
float a = 8, b= 10;
cout << "Area is: " << area(a, b);
}輸出
Area is: 30.6488
廣告
資料結構
網路
RDBMS
作業系統
Java
iOS
HTML
CSS
Android
Python
C 程式設計
C++
C#
MongoDB
MySQL
Javascript
PHP