C++ 中兩個二叉搜尋樹的所有元素
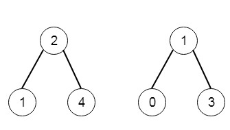
假設我們有兩個二叉搜尋樹,我們需要返回一個列表,該列表包含這兩個樹中存在的所有元素,並且列表元素按升序排列。所以如果樹是這樣的 -

那麼輸出將是 [0,1,1,2,3,4]。
為了解決這個問題,我們將遵循以下步驟 -
- 定義一個名為 ans 的陣列,定義兩個棧 st1 和 st2
- curr1 := root1 且 curr2 := root2
- 將根節點 root1 和所有左節點插入 st1,將根節點 root2 和所有左節點插入 st2
- 當 st1 不為空或 st2 不為空時
- 如果 st1 不為空,並且 (st2 為空或 st1 的棧頂節點值 <= st2 的棧頂節點值)
- temp := st1 的棧頂,從 st1 中刪除節點
- 將 temp 的值插入 ans
- 將 temp 的右節點及其所有左節點插入 st1
- 否則 -
- temp := st2 的棧頂,從 st2 中刪除節點
- 將 temp 的值插入 ans
- 將 temp 的右節點及其所有左節點插入 st2
- 如果 st1 不為空,並且 (st2 為空或 st1 的棧頂節點值 <= st2 的棧頂節點值)
- 返回 ans
示例(C++)
讓我們看看以下實現,以便更好地理解 -
#include <bits/stdc++.h>
using namespace std;
void print_vector(vector<auto> v){
cout << "[";
for(int i = 0; i<v.size(); i++){
cout << v[i] << ", ";
}
cout << "]"<<endl;
}
class TreeNode{
public:
int val;
TreeNode *left, *right;
TreeNode(int data){
val = data;
left = NULL;
right = NULL;
}
};
void insert(TreeNode **root, int val){
queue<TreeNode*> q;
q.push(*root);
while(q.size()){
TreeNode *temp = q.front();
q.pop();
if(!temp->left){
if(val != NULL)
temp->left = new TreeNode(val);
else
temp->left = new TreeNode(0);
return;
}
else{
q.push(temp->left);
}
if(!temp->right){
if(val != NULL)
temp->right = new TreeNode(val);
else
temp->right = new TreeNode(0);
return;
}
else{
q.push(temp->right);
}
}
}
TreeNode *make_tree(vector<int> v){
TreeNode *root = new TreeNode(v[0]);
for(int i = 1; i<v.size(); i++){
insert(&root, v[i]);
}
return root;
}
class Solution {
public:
void pushLeft(stack <TreeNode*>& st, TreeNode* root){
TreeNode* curr = root;
while(curr){
st.push(curr);
curr = curr->left;
}
}
vector<int> getAllElements(TreeNode* root1, TreeNode* root2) {
vector <int> ans;
stack <TreeNode*> st1, st2;
TreeNode* curr1 = root1;
TreeNode* curr2 = root2;
pushLeft(st1, curr1);
pushLeft(st2, curr2);
while(!st1.empty() || !st2.empty()){
TreeNode* temp;
if(!st1.empty() && (st2.empty() || st1.top()->val <= st2.top()->val)){
temp = st1.top();
st1.pop();
ans.push_back(temp->val);
pushLeft(st1, temp->right);
}
else{
temp = st2.top();
st2.pop();
ans.push_back(temp->val);
pushLeft(st2, temp->right);
}
}
return ans;
}
};
main(){
vector<int> v = {2,1,4};
TreeNode *root1 = make_tree(v);
v = {1,0,3};
TreeNode *root2 = make_tree(v);
Solution ob;
print_vector(ob.getAllElements(root1, root2));
}輸入
[2,1,4] [1,0,3]
輸出
[0,1,1,2,3,4]
廣告
資料結構
網路
關係資料庫管理系統
作業系統
Java
iOS
HTML
CSS
Android
Python
C 程式設計
C++
C#
MongoDB
MySQL
Javascript
PHP