C++合併兩棵二叉樹
假設我們有兩棵二叉樹,並且考慮當我們將其中一棵樹覆蓋到另一棵樹上時,兩棵樹的一些節點重疊,而其他節點沒有重疊。我們必須將它們合併成一棵新的二叉樹。合併規則是這樣的:如果兩個節點重疊,則將節點值相加作為合併節點的新值。否則,非空節點將用作新樹的節點。
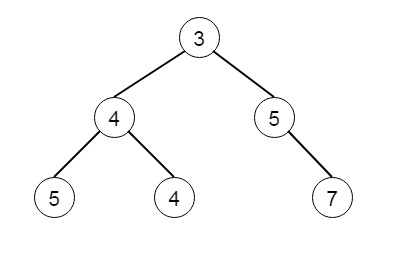
所以如果樹是:

那麼輸出將是:

為了解決這個問題,我們將遵循以下步驟:
該方法是mergeTrees()。它接受兩個樹節點n1和n2。它類似於:
如果n1為空,而n2非空,則返回n2,否則當n2為空,而n1非空時,則返回n1,當兩者都為空時,則返回null
n1的值 := n1的值 + n2的值
n1的左子樹 := mergeTrees(n1的左子樹, n2的左子樹)
n1的右子樹 := mergeTrees(n1的右子樹, n2的右子樹)
返回n1
示例(C++)
讓我們看看下面的實現以更好地理解:
#include <bits/stdc++.h>
using namespace std;
class TreeNode{
public:
int val;
TreeNode *left, *right;
TreeNode(int data){
val = data;
left = right = NULL;
}
};
void insert(TreeNode **root, int val){
queue<TreeNode*> q;
q.push(*root);
while(q.size()){
TreeNode *temp = q.front();
q.pop();
if(!temp->left){
temp->left = new TreeNode(val);
return;
}
else{
q.push(temp->left);
}
if(!temp->right){
temp->right = new TreeNode(val);
return;
}
else{
q.push(temp->right);
}
}
}
TreeNode *make_tree(vector<int> v){
TreeNode *root = new TreeNode(v[0]);
for(int i = 1; i<v.size(); i++){
insert(&root, v[i]);
}
return root;
}
void tree_level_trav(TreeNode*root){
if (root == NULL) return;
cout << "[";
queue<TreeNode *> q;
TreeNode *curr;
q.push(root);
q.push(NULL);
while (q.size() > 1) {
curr = q.front();
q.pop();
if (curr == NULL){
q.push(NULL);
}
else {
if(curr->left)
q.push(curr->left);
if(curr->right)
q.push(curr->right);
if(curr->val == 0){
cout << "null" << ", ";
}
else{
cout << curr->val << ", ";
}
}
}
cout << "]"<<endl;
}
class Solution {
public:
TreeNode* mergeTrees(TreeNode* n1, TreeNode* n2) {
if(!n1 && n2){
return n2;
}
else if(!n2 && n1)return n1;
else if(!n1 && !n2)return NULL;
n1->val+=n2->val;
n1->left = mergeTrees(n1->left,n2->left);
n1->right = mergeTrees(n1->right,n2->right);
return n1;
}
};
main(){
Solution ob;
vector<int> v1 = {1,3,2,5};
vector<int> v2 = {2,1,3,NULL,4,NULL,7};
TreeNode *root1 = make_tree(v1);
TreeNode *root2 = make_tree(v2);
root1 = ob.mergeTrees(root1, root2);
tree_level_trav(root1);
}輸入
[1,3,2,5] [2,1,3,null,4,null,7]
輸出
[3, 4, 5, 5, 4, null, 7, ]
廣告
資料結構
網路
關係資料庫管理系統
作業系統
Java
iOS
HTML
CSS
Android
Python
C語言程式設計
C++
C#
MongoDB
MySQL
Javascript
PHP