什麼是產品蠶食?
產品蠶食是指一個新的專案或產品吞噬已經存在的產品所獲得的現金流的過程。這意味著,當一個新的專案或產品推出時,它可能會奪走一個已經執行的產品或專案的現金流。商業決策必須將蠶食效應納入考慮,因為忽略這一點有時會導致巨大的損失。
資本預算決策是在保持產品盈利能力和市場份額的基礎上做出的,它們應該包含一種整體方法。
新的產品或專案不得對已經存在的、並且目前仍在盈利的產品或專案產生負面影響。
因此,有必要評估新產品的衝擊,以估計新產品的盈利能力,並檢視它是否會吞噬來自另一個專案的盈利能力或現金流。
因此,蠶食率對於即將推出新產品或專案的公司來說是一個非常重要的概念。
蠶食率
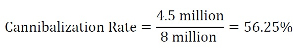
蠶食率是損失的收入除以新增的總收入的比率。
$$\mathrm{蠶食率= \frac{損失的收入 }{新增的總收入 } }$$
在計算資本預算指標(如淨現值 (NPV) 和內部收益率 (IRR))時,必須從新專案的總現金流中減去蠶食率。
儘管在推出新產品之前必須考慮蠶食率,但在推出新專案或產品時,必須考慮市場情況和潛在競爭對手的行動。因此,它不應是一種機械的方法。
如果競爭對手無論如何都會推出類似的產品,企業不應因蠶食而回避推出新產品或頁面。
自我蠶食對於在許多行業(如科技行業)保持競爭優勢至關重要。
示例
Sweet & Saucy 專注於生產各種型別的餅乾。它目前銷售兩種版本的餅乾:“香甜酥脆”和“鹹香美人”,每年分別賺取 2000 萬印度盧比和 1000 萬印度盧比。
現在,該公司計劃推出一種名為“鹹味黃油”的新產品,預計將產生 800 萬印度盧比的收入。
然而,分析師表示,“鹹味黃油”的推出將分別蠶食“香甜酥脆”和“鹹香美人”20% 和 5% 的收入。
如果價格保持不變,總收入損失將為:
2000 萬印度盧比 × 20% + 1000 萬印度盧比 × 5% = 450 萬印度盧比
因此,

因此,只有在產品推出成本不高的情況下,新版本的推出才可行。
資料結構
網路
關係型資料庫管理系統
作業系統
Java
iOS
HTML
CSS
Android
Python
C 程式設計
C++
C#
MongoDB
MySQL
Javascript
PHP