C++程式檢查給定的二叉樹是否為滿二叉樹
給定一棵二叉樹,任務是檢查它是否為滿二叉樹。如果每個節點都有零個或兩個子節點,則稱二叉樹為滿二叉樹。
例如
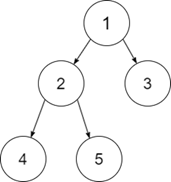
輸入-1

輸出
1
解釋:除了葉子節點之外,每個節點都有兩個子節點,因此它是一棵滿二叉樹。
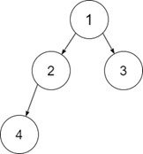
輸入-2:

輸出
0
解釋:節點 2 只有一個子節點,因此它不是一棵滿二叉樹。
解決此問題的方法
要檢查給定的二叉樹是否為滿二叉樹,我們可以遞迴地檢查左子樹和右子樹。
- 輸入具有節點及其子節點的給定二叉樹。
- 布林函式 isFullBinaryTree(Node*root) 以根節點作為輸入,如果它是滿二叉樹則返回 True,否則返回 false。
- 在基本條件下,如果根節點為空或為空,則返回 True。
- 如果左子樹和右子樹為空或為空,則返回 True。
- 現在讓我們遞迴地檢查每個左子樹和右子樹並返回輸出。
示例
#include<iostream>
using namespace std;
struct treenode {
int data;
treenode * left;
treenode * right;
};
struct treenode * createNode(int d) {
struct treenode * root = new treenode;
root -> data = d;
root -> left = NULL;
root -> right = NULL;
return root;
}
bool isFullBinaryTree(struct treenode * root) {
if (root == NULL) {
return true;
}
if (root -> left == NULL and root -> right == NULL) {
return true;
} else if (root -> left and root -> right) {
return (isFullBinaryTree(root -> left) and isFullBinaryTree(root -> right));
}
return false;
}
int main() {
struct treenode * root = NULL;
root = createNode(1);
root -> left = createNode(2);
root -> right = createNode(3);
root -> left -> right = createNode(4);
root -> left -> left = createNode(5);
root -> right -> left = createNode(6);
if (isFullBinaryTree(root)) {
cout << "1" << endl;
} else {
cout << "0" << endl;
}
return 0;
}執行以上程式碼將生成以下輸出:
輸出
0
解釋:由於給定二叉樹中的所有葉子節點都沒有子節點,因此它不是滿二叉樹。所以,我們得到輸出為 0。
廣告
資料結構
網路
關係資料庫管理系統
作業系統
Java
iOS
HTML
CSS
Android
Python
C語言程式設計
C++
C#
MongoDB
MySQL
Javascript
PHP