將NFA轉換為DFA並解釋它們之間的區別
非確定性有限自動機 (NFA) 和確定性有限自動機 (DFA) 之間的一些基本區別在於,在 DFA 中,每個狀態對每個輸入都有一個輸出,而 NFA 不一定如此。
此外,在 NFA 中,輸入可以是 ε,但在 DFA 中則不然。
此外,在 NFA 中,一個狀態可以在相同的輸出上轉換到不同的狀態,但在 DFA 中則不然。
通常,我們透過為給定的 NFA 製作狀態轉換圖,並相應地改變 DFA 的狀態圖來將 NFA 轉換為 DFA。從這個狀態轉換圖,我們可以製作 DFA。
問題
將給定的 NFA 轉換為 DFA。
解決方案
給定的 NFA 如下所示:

NFA 的狀態轉換表如下所示
| 狀態\輸入 | a | b |
|---|---|---|
| ->q0 | {q2,q1} | - |
| q1 | - | - |
| q2 | {q1,q2} | - |
DFA 的狀態轉換表如下所示
| 狀態\輸入 | a | b |
|---|---|---|
| ->q0 | [q0q1] | - |
| *[q2q1] | [q1q2] | [q2] |
| [q2] | [q2q1] | [q2] |
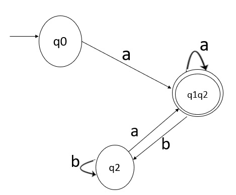
DFA 狀態轉換圖如下所示:

廣告
資料結構
網路
關係型資料庫管理系統
作業系統
Java
iOS
HTML
CSS
Android
Python
C語言程式設計
C++
C#
MongoDB
MySQL
Javascript
PHP