
演算法流程圖
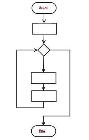
流程圖是藍圖,以圖形方式表示演算法及其步驟。流程圖的步驟沒有特定的尺寸和形狀,而是以不同的形狀和尺寸設計(參見下圖)。

如上圖所示,不同形狀的框透過箭頭相互連線,邏輯上構成一個流程圖。流程圖表示過程中的一般步驟。
流程圖的優點
現在讓我們討論流程圖的優點。
簡化邏輯
因為它提供了步驟的圖形表示;因此,它簡化了邏輯和後續步驟。
改善溝通
由於具有易於理解的圖形邏輯和步驟,因此它是一種更好、更簡單的表示方式。
有效分析
流程圖一旦準備好,就可以非常簡單地有效地分析問題。
在編碼中很有用
流程圖還有助於有效地進行編碼過程,因為它提供了關於做什麼、何時做以及在哪裡做的指示。它使工作更容易。
適當的測試
此外,流程圖還有助於查詢程式中的錯誤(如果有)。
適用的文件
最後但並非最不重要的一點是,流程圖還有助於準備正確的文件(程式碼編寫完成後)。
流程圖符號
下表說明了符號及其名稱(在流程圖中使用) -
名稱 | 符號 | 名稱 | 符號 |
---|---|---|---|
![]() |
流程線 | ![]() |
磁性磁碟 |
![]() |
終端 | ![]() |
通訊鏈路 |
![]() |
處理 | ![]() |
離線儲存 |
![]() |
決策 | ![]() |
註釋 |
![]() |
連線符 | ![]() |
流程線 |
![]() |
文件 | ![]() |
離頁連線符 |
流程圖示例

廣告