C++程式:計算兩個同心圓之間的面積?
什麼是同心圓?
同心圓是指內含於另一個圓內的圓,這意味著它們共享同一個圓心,但半徑長度不同,即r1和r2,其中r2>r1。兩個同心圓之間的區域稱為環形區域。
下圖是同心圓的圖形

問題
給定兩個半徑分別為r1和r2的不同同心圓,其中r2>r1。任務是找到兩個圓之間的面積,該面積用藍色突出顯示。
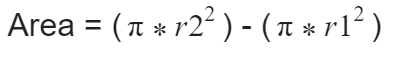
要計算兩個圓之間的面積,我們可以從較大的圓的面積中減去較小的圓的面積。
假設,較大的圓的半徑為r2,較小的圓的半徑為r1,則

示例
Input-: r1=3 r2=4 Output-: area between two given concentric circle is :21.98
演算法
Start Step 1 -> define macro as #define pi 3.14 Step 2 -> Declare function to find area between the two given concentric circles double calculateArea(int x, int y) set double outer = pi * x * x Set double inner = pi * y * y return outer-inner step 3 -> In main() Declare variable as int x = 4 and int y = 3 Print calculateArea(x,y) Stop
示例
#include <bits/stdc++.h>
#define pi 3.14
using namespace std;
// Function to find area between the two given concentric circles
double calculateArea(int x, int y){
double outer = pi * x * x;
double inner = pi * y * y;
return outer-inner;
}
int main(){
int x = 4;
int y = 3;
cout <<"area between two given concentric circle is :"<<calculateArea(x, y);
return 0;
}輸出
area between two given concentric circle is :21.98
廣告
資料結構
網路
關係資料庫管理系統 (RDBMS)
作業系統
Java
iOS
HTML
CSS
Android
Python
C語言程式設計
C++
C#
MongoDB
MySQL
Javascript
PHP