Python 中之之字形標記二叉樹路徑
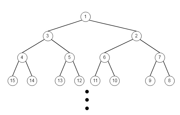
假設在一個無限二叉樹中,每個節點都有兩個子節點,節點按行順序標記。現在在奇數行(第一行、第三行、第五行……),標記是從左到右的,在偶數行(第二行、第四行、第六行……),標記是從右到左的。所以樹將是這樣的:

所以我們給出了這棵樹中一個節點的標籤,我們需要找到從樹的根節點到該節點的路徑上的標籤。所以如果輸入是 label = 14,那麼輸出將是 [1,3,4,14]
為了解決這個問題,我們將遵循以下步驟:
定義兩個陣列 tree 和 res,將 0 和 1 插入到 tree 陣列中,設定 odd := 1,current := 1 和 two := 2
如果 label = 1,則返回一個包含單個元素 1 的列表。
建立一個無限迴圈:
如果 odd 不為零,則
max_val := current + two
temp := max_val
當 temp > current 時
將 temp 插入到 tree 中
如果 temp = label,則退出迴圈
將 temp 減 1
如果 tree 的最後一個元素是 label,則退出迴圈
current := max_val
否則
temp := two
當 temp 不為零時
temp := 1,將 current 加 1,然後將 current 插入到 tree 中
如果 current = label,則退出迴圈
如果 tree 的最後一個元素是 label,則退出迴圈
temp := temp * 2
如果 odd 不為零,則 odd := false,否則 odd := true
index := tree 的長度 – 1
當 index 不為 0 時
將 tree[index] 插入到 res 陣列中
index := index / 2
res := res 的反轉列表
返回 res
示例(Python)
讓我們看看以下實現,以便更好地理解:
class Solution(object): def pathInZigZagTree(self, label): tree = [] res = [] tree.append(0) tree.append(1) odd = 1 current = 1 two = 2 if label == 1: return [1] while True: if odd: max_val = current + two temp = max_val while temp>current: tree.append(temp) if temp == label: break temp-=1 if tree[-1]== label: break current = max_val else: temp = two while temp: temp-=1 current+=1 tree.append(current) if current == label: break if tree[-1]== label: break two*=2 odd = not odd index = len(tree)-1 while index: res.append(tree[index]) index//=2 res=res[::-1] return res ob = Solution() print(ob.pathInZigZagTree(14))
輸入
14
輸出
[1,3,4,14]
資料結構
網路
關係資料庫管理系統
作業系統
Java
iOS
HTML
CSS
Android
Python
C 程式設計
C++
C#
MongoDB
MySQL
Javascript
PHP